zadnja posodobitev :
27/04/2026
Antimikotik   Amphotericin B  
Aerosol
Brizgalka Kapljice za oči Peroralna raztopina Ustna voda
Stabilnost farmacevtskih preparatov Stabilnost mešanice Faktorji, ki vplivajo na stabilnost Kompatibilnost Viri pdf
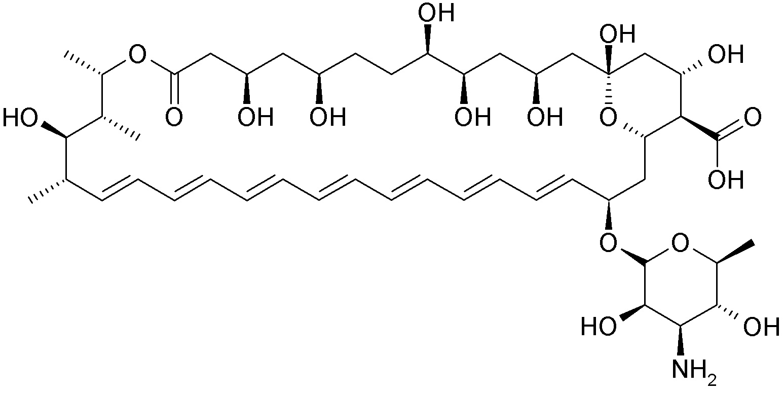
   Kemična formula  

Aerosol
Kompatibilnost   Aerosol   Kompatibilnost : Amphotericin B              
ni podatka

  Mentions Légales