Viimeisin päivitys :
27/04/2026
Sienilääkkeet   Amphotericin B  
Aerosoli
Injektioneste Oraaliliuos Silmätipat Suuvesi
Vakaus lääkevalmisteen Stabilius seoksissa Tekijät, jotka vaikuttavat stabiliuteen Yhteensopivuus Viitteet pdf
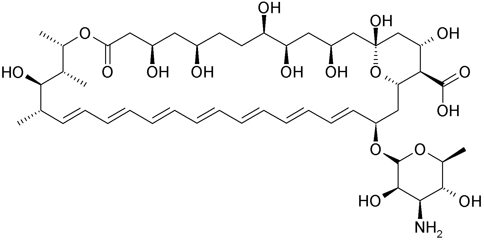
   Kemiallinen rakenne  

Aerosoli
Yhteensopivuus   Aerosoli   Yhteensopivuus : Amphotericin B              
ei tietoa

  Mentions Légales