Son güncelleme :
18/03/2026
Infostab
Listeler
Listeler
Uyumluluk arayın
Y site uyumluluk tablosu
Kaynaklar
Araştırma Takımlar
valistab
afiş
Bağlantıları
sponsorlar
Yazar
Kullanıcı rehberi
Bültenini
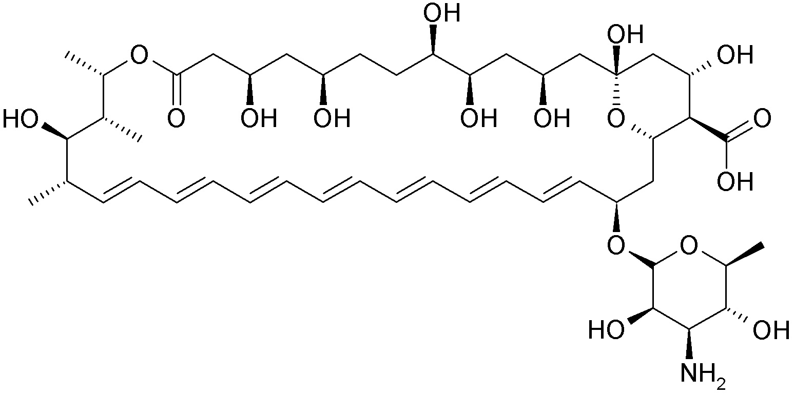
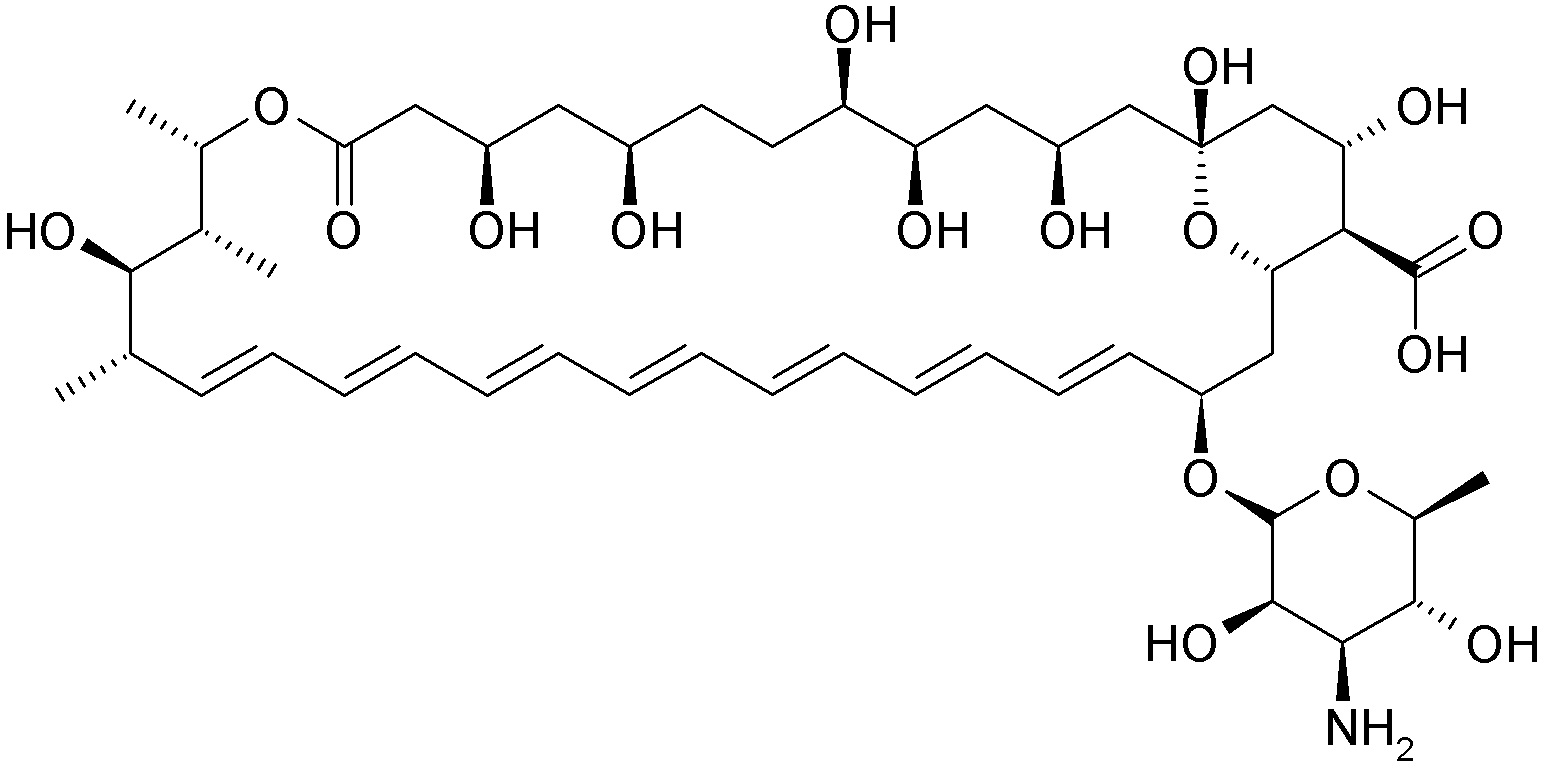
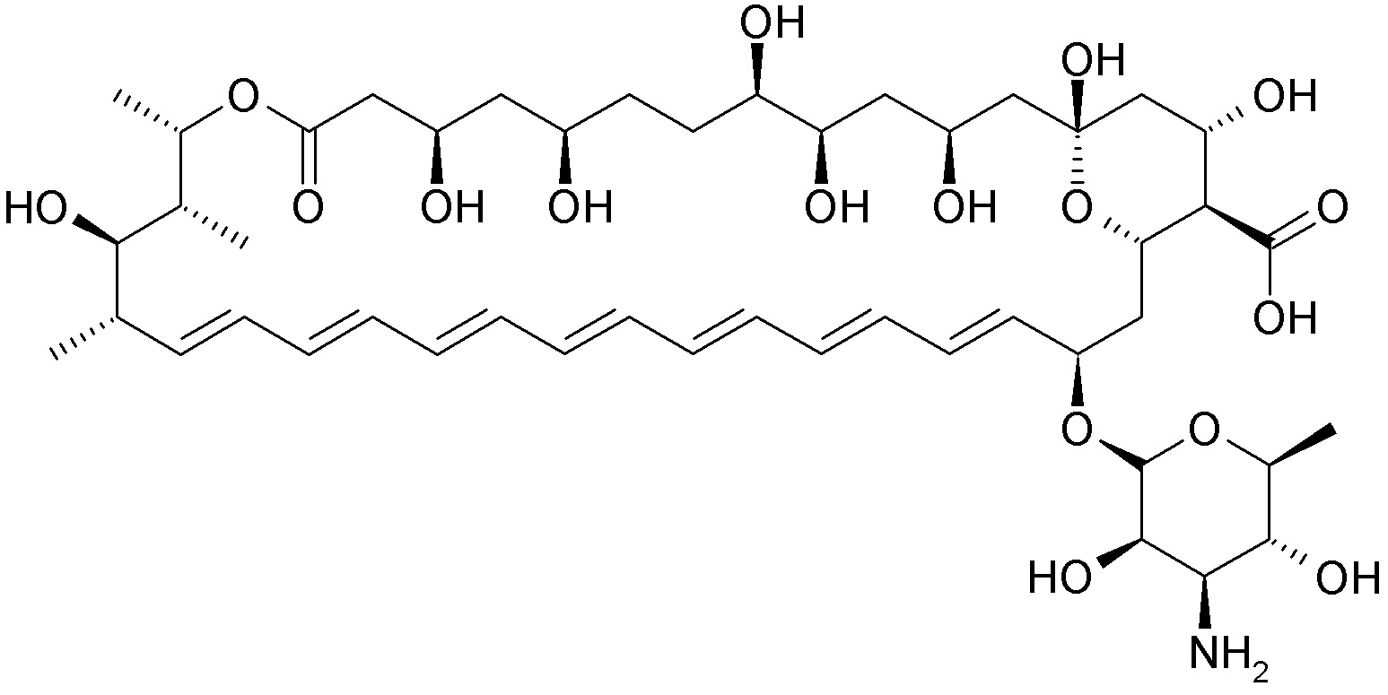
Amphotericin B
Kimyasal yapı
Kaynaklar : Amphotericin B
tip
yayın
3069
Dergi
Juarez JC, ,Lopez RM, Hucto M et al.
Stability of amphotericin B in water solution for inhalation.
Eur Hosp Pharm 1997 ; 3: 59-60.
Mentions Légales