Siste oppdatering :
27/04/2026
Fungicid   Amphotericin B  
Aerosol
Injeksjon Mikstur Munnvann Øyedråper
Stabilitet av farmasøytiske preparater Stabilitet i blandinger Faktorer som påvirker stabiliteten Kompatibilitet Referanser pdf
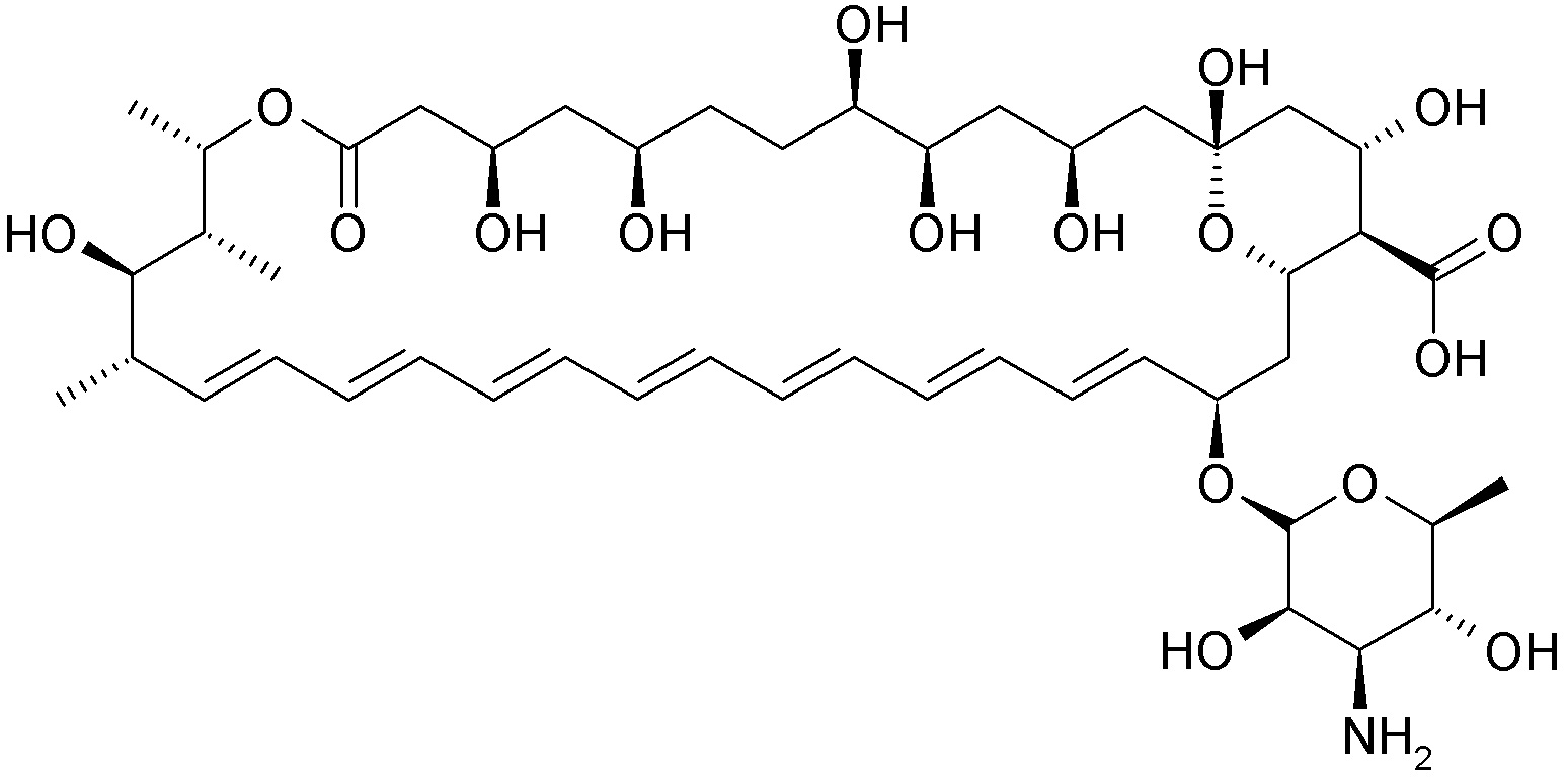
   Kjemisk struktur  

Aerosol
Kompatibilitet   Aerosol   Kompatibilitet : Amphotericin B              
Ingen opplysninger

  Mentions Légales