Cập nhật lần cuối :
27/01/2026
Kháng sinh   Gentamicin sulfate  
Thuốc nhỏ mắt
Dạng tiêm
Tính ổn định của các chế phẩm Độ ổn định khi trộn lẫn Những yếu tố ảnh hưởng đến độ ổn định Khả năng tương thích Tài liệu tham khảo Pdf
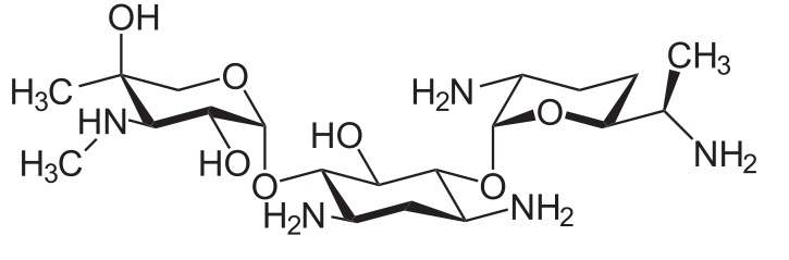
   Cấu trúc hóa học  

Thuốc nhỏ mắt

Những yếu tố ảnh hưởng đến độ ổn định   Thuốc nhỏ mắt   Những yếu tố ảnh hưởng đến độ ổn định : Gentamicin sulfate        
Mục lục
Nhiệt độ 25°C Tạo thành Giảm độ ổn định 2547

  Mentions Légales