Seneste opdatering :
27/01/2026
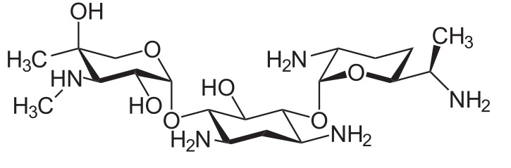
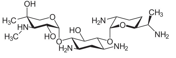
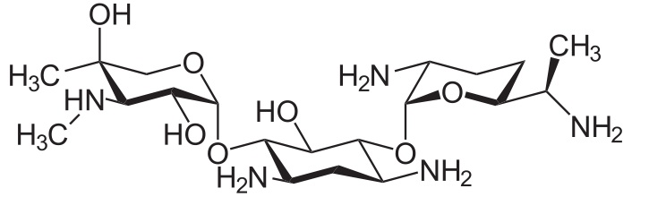
Antibiotisk   Gentamicin sulfate  
Øjendråber
Injektion
Stabilitet af farmaceutiske tilberedninger Stabilitet i blandinger Faktorer der påvirker stabiliteten Kompatibilitet Bibliografi pdf
   Kemisk struktur  

Øjendråber

Faktorer der påvirker stabiliteten   Øjendråber   Faktorer der påvirker stabiliteten : Gentamicin sulfate        
Bibliografi
Temperatur 25°C Fremkalde Nedsat stabilitet 2547

  Mentions Légales