Τελευταία ενημέρωση :
27/01/2026
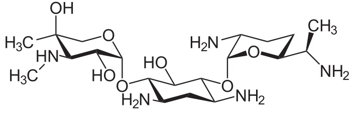
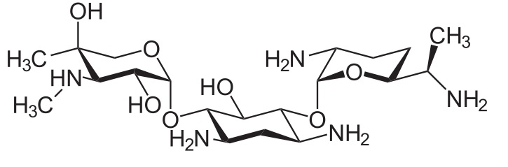
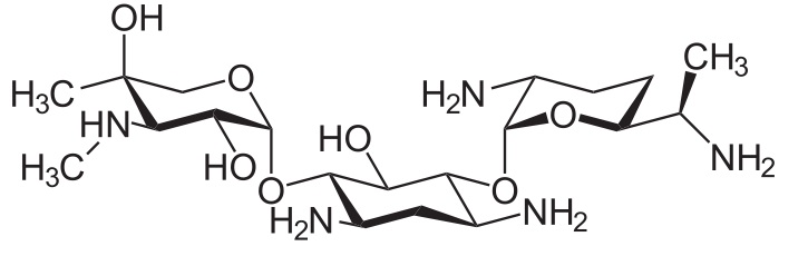
Αντιβιοτικό   Gentamicin sulfate  
Οφθαλμικές σταγόνες
Ενέσιμο
Σταθερότητα και συμβατότητα των φαρμάκων Σταθερότητα σε μίγματα Παράγοντας που επηρεάζει τη σταθερότητα Συμβατότητες Βιβλιογραφία pdf
   χημική δομή  

Οφθαλμικές σταγόνες

Παράγοντας που επηρεάζει τη σταθερότητα   Οφθαλμικές σταγόνες   Παράγοντας που επηρεάζει τη σταθερότητα : Gentamicin sulfate        
Βιβλιογραφία
Θερμοκρασία 25°C Προκαλεί Μείωση της σταθερότητας 2547

  Mentions Légales