Viimeisin päivitys :
27/01/2026
Antibiootit   Gentamicin sulfate  
Silmätipat
Injektioneste
Vakaus lääkevalmisteen Stabilius seoksissa Tekijät, jotka vaikuttavat stabiliuteen Yhteensopivuus Viitteet pdf
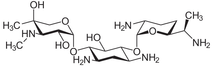
   Kemiallinen rakenne  

Silmätipat

Tekijät, jotka vaikuttavat stabiliuteen   Silmätipat   Tekijät, jotka vaikuttavat stabiliuteen : Gentamicin sulfate        
Viitteet
Lämpötila 25°C Aiheuttaa Alentunut stabilius 2547

  Mentions Légales