viimane versioon :
27/01/2026
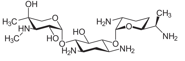
antibiootikum   Gentamicin sulfate  
Silmatilgad
Süsteravim
Stabiilsust ravimpreparaadid Stabiilsust mõjutavad tegurid stabiilsust mõjutavad faktorid Sobimatus Viited pdf
   keemiline struktuur  

Silmatilgad

stabiilsust mõjutavad faktorid   Silmatilgad   stabiilsust mõjutavad faktorid : Gentamicin sulfate        
Viited
temperatuur 25°C indutseerib vähenenud stabiilsus 2547

  Mentions Légales