Senaste uppdateringen :
27/01/2026
Antibiotikum   Gentamicin sulfate  
ögondroppar
injektion
Stabilitet av läkemedel Stabilitet i blandningar Faktorer som påverkar stabiliteten Kompatibilitet Hänvisningar pdf
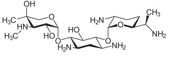
   Molekylstruktur  

ögondroppar

Faktorer som påverkar stabiliteten   ögondroppar   Faktorer som påverkar stabiliteten : Gentamicin sulfate        
Hänvisningar
Temperatur 25°C Orsakar Minskad stabilitet 2547

  Mentions Légales