最新更新 :
27/01/2026
抗生素   Gentamicin sulfate  
眼药水
注射液
制剂的稳定性 混合物稳定性 影响稳定性的因素 兼容性 引用文献 PDF
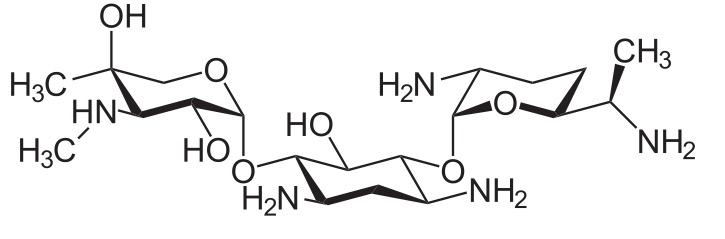
   化学式  

眼药水

影响稳定性的因素   眼药水   影响稳定性的因素 : Gentamicin sulfate        
引用文献
温度 25°C 诱导 稳定性减弱 2547

  Mentions Légales