Poslední aktualizace :
27/01/2026
Antibiotikum   Gentamicin sulfate  
Humbuk
injekce
Stabilita farmaceutických přípravků Stabilita směsí Faktory ovlivňující stabilitu Kompatibilita Odkazy pdf
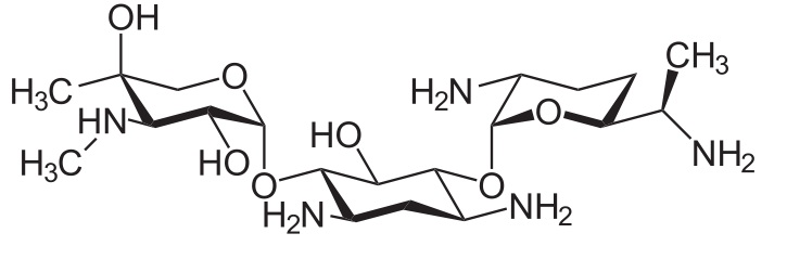
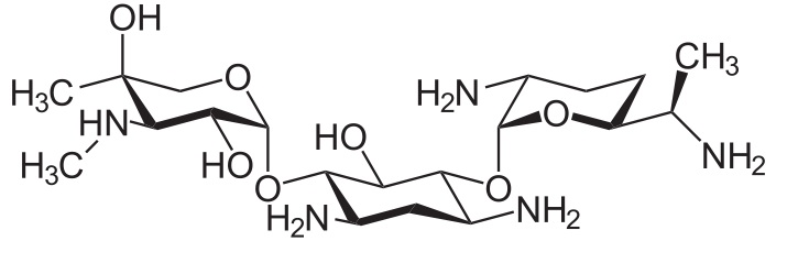
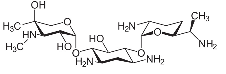
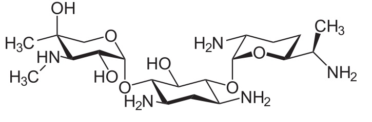
   Chemický vzorec  

Humbuk

Faktory ovlivňující stabilitu   Humbuk   Faktory ovlivňující stabilitu : Gentamicin sulfate        
Odkazy
Teplota 25°C Indukuje Snížená stabilita 2547

  Mentions Légales