Ultimo aggiornamento :
27/01/2026
Antibiotico   Gentamicin sulfate  
Collirio
Iniezione
Stabilità dei preparati farmaceutici Stabilità in miscela Fattori che influenzano la stabilità Compatibilità Bibliografia pdf
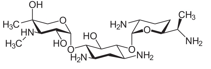
   Struttura chimica  

Collirio

Fattori che influenzano la stabilità   Collirio   Fattori che influenzano la stabilità : Gentamicin sulfate        
Bibliografia
Temperatura 25°C Provoca Diminuzione della stabilità 2547

  Mentions Légales