最新更新 :
27/01/2026
抗菌薬   Gentamicin sulfate  
点眼薬
注射薬
調剤時の安定性 混合時の安定性 安定性に影響する因子 互換性 引用文献 PDF
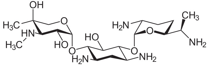
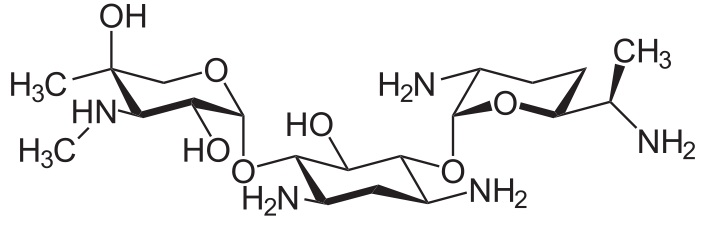
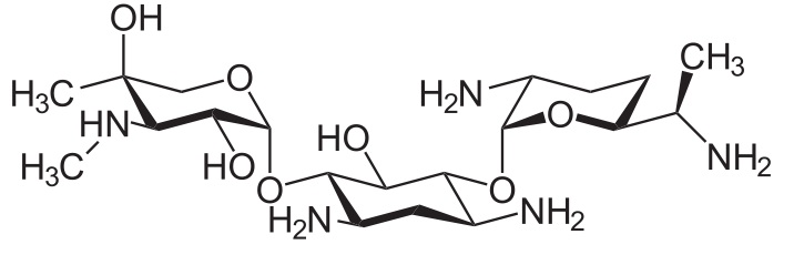
   化学構造  

点眼薬

安定性に影響する因子   点眼薬   安定性に影響する因子 : Gentamicin sulfate        
引用文献
温度 25°C 誘導 安定性減少 2547

  Mentions Légales