Laatste update :
27/01/2026
Antibioticum   Gentamicin sulfate  
Oogwater
injecteerbaar geneesmiddel
Stabiliteit van farmaceutische preparaten Stabiliteit in mengsels Factoren die de stabiliteit beïnvloeden Verenigbaarheden Literatuur pdf
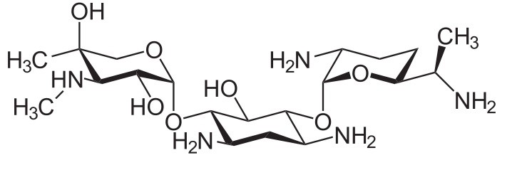
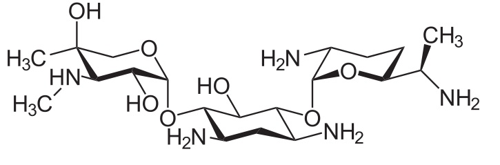
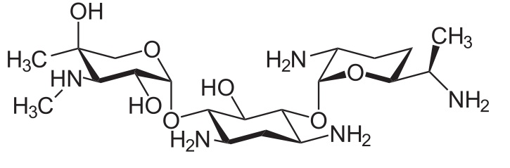
   Molecuulstructuur  

Oogwater

Factoren die de stabiliteit beïnvloeden   Oogwater   Factoren die de stabiliteit beïnvloeden : Gentamicin sulfate        
Literatuur
Temperatuur 25°C Veroorzaakt Stabiliteit neemt af 2547

  Mentions Légales