Dernière mise à jour :
27/01/2026
Antibiotique   Gentamicin sulfate  
Collyre
injectable
Stabilité des préparations Stabilité en mélange Facteur influençant la stabilité Compatibilités Bibliographie pdf
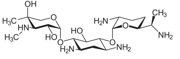
   Structure chimique  

Collyre

Facteur influençant la stabilité   Collyre   Facteur influençant la stabilité : Gentamicin sulfate        
Bibliographie
Température 25°C Provoque Diminution de la stabilité 2547

  Mentions Légales