Última actualización :
27/01/2026
Antibiótico   Gentamicin sulfate  
Gotas oculares
Inyectables
La estabilidad de las preparaciones farmacéuticas Estabilidad en mezcla Factores que influyen sobre la estabilidad Compatibilidades Bibliografía pdf
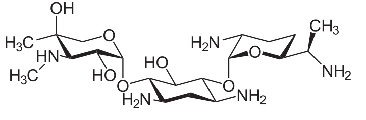
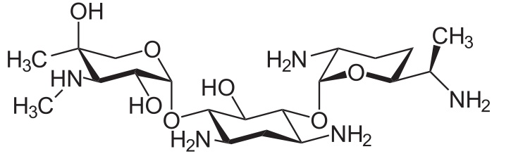
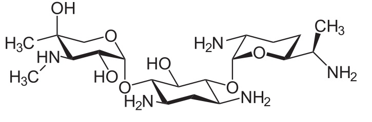
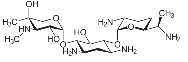
   Estructura química  

Gotas oculares

Factores que influyen sobre la estabilidad   Gotas oculares   Factores que influyen sobre la estabilidad : Gentamicin sulfate        
Bibliografía
Temperatura 25°C Provoque Disminución de la estabilidad 2547

  Mentions Légales