Zadnji put ažurirano :
27/01/2026
antibiotik   Gentamicin sulfate  
kapi za oko
injekcija
Stabilnost farmaceutskih pripravaka Stabilnost mješavine Stabilizacijski faktor Kompatibilnosti Bibliografija pdf
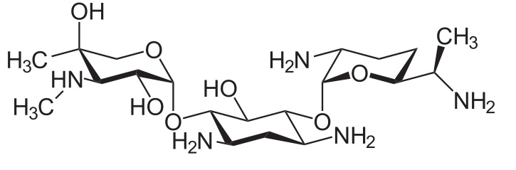
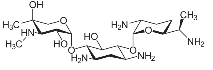
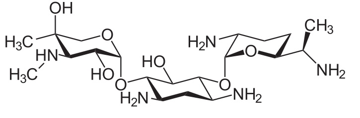
   Kemijska struktura  

kapi za oko

Stabilizacijski faktor   kapi za oko   Stabilizacijski faktor : Gentamicin sulfate        
Bibliografija
temperatura 25°C izaziva Smanjenje stabilnosti 2547

  Mentions Légales