Останнє оновлення :
27/01/2026
Антибіотик   Gentamicin sulfate  
Очні краплі
ін'єкція
Стабільність фармацевтичних препаратів Стійкість сумішей Фактори, що впливають на стабільність Сумісність Список літератури pdf
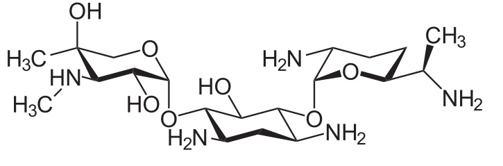
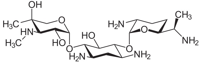
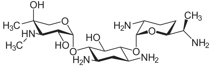
   Хімічна структура  

Очні краплі

Фактори, що впливають на стабільність   Очні краплі   Фактори, що впливають на стабільність : Gentamicin sulfate        
Список літератури
температура 25°C Спонукає Знижена стійкість 2547

  Mentions Légales