Останнє оновлення :
27/01/2026
Антибіотик   Amoxicillin sodium / clavulanic acid  
Розчин для перорального застосування
ін'єкція
Стабільність фармацевтичних препаратів Стійкість сумішей Фактори, що впливають на стабільність Сумісність Список літератури pdf
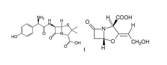
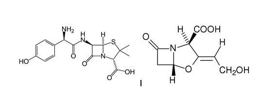
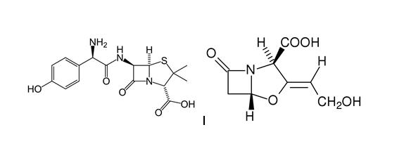
   Хімічна структура  

Розчин для перорального застосування

Фактори, що впливають на стабільність   Розчин для перорального застосування   Фактори, що впливають на стабільність : Amoxicillin sodium / clavulanic acid        
Список літератури
температура 25°C Спонукає Знижена стійкість 2508
температура 25°C Спонукає хімічна деградація 2951

  Mentions Légales