Última actualização :
27/01/2026
antibiótico   Amoxicillin sodium / clavulanic acid  
Solução Oral
injetável
Estabilidade de preparações farmacêuticas Estabilidade em misturas Factores que afectam a sua estabilidade Compatibilidade Bibliografía pdf
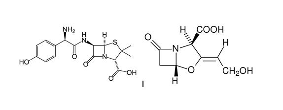
   estrutura química  

Solução Oral

Factores que afectam a sua estabilidade   Solução Oral   Factores que afectam a sua estabilidade : Amoxicillin sodium / clavulanic acid        
Bibliografia
temperatura 25°C Provoca Diminuição da estabilidade 2508
temperatura 25°C Provoca Degradação 2951

  Mentions Légales