Dernière mise à jour :
27/01/2026
Antibiotique   Amoxicillin sodium / clavulanic acid  
Solution buvable
injectable
Stabilité des préparations Stabilité en mélange Facteur influençant la stabilité Compatibilités Bibliographie pdf
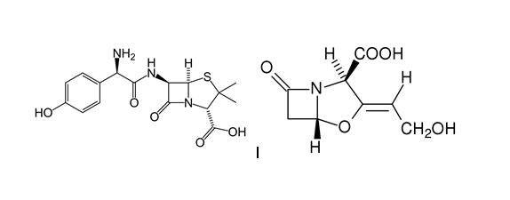
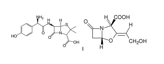
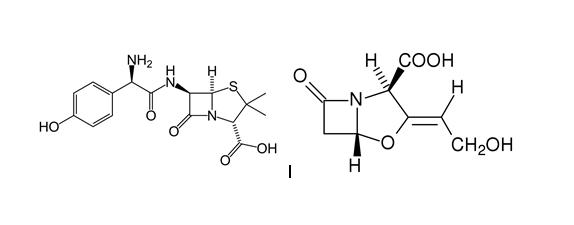
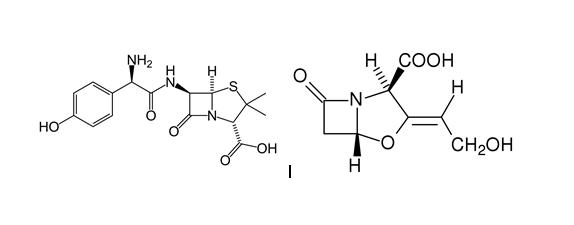
   Structure chimique  

Solution buvable

Facteur influençant la stabilité   Solution buvable   Facteur influençant la stabilité : Amoxicillin sodium / clavulanic acid        
Bibliographie
Température 25°C Provoque Diminution de la stabilité 2508
Température 25°C Provoque Dégradation 2951

  Mentions Légales