Last update :
27/01/2026
Antibiotic   Amoxicillin sodium / clavulanic acid  
Oral solution
injection
Stability of pharmaceutical preparations Stability of mixtures Factors which affect stability Compatibility References pdf
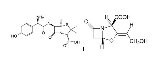
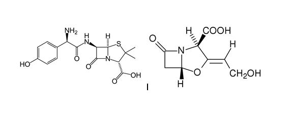
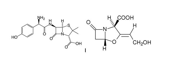
   Chemical structure  

Oral solution

Factors which affect stability   Oral solution   Factors which affect stability : Amoxicillin sodium / clavulanic acid        
References
Temperature 25°C Induces Reduced stability 2508
Temperature 25°C Induces Degradation 2951

  Mentions Légales