Последнее обновление :
27/01/2026
Антибиотик   Amoxicillin sodium / clavulanic acid  
Раствор для перорального приёма
Инъекция
Стабильность фармацевтических препаратов Стабильность смесей Факторы, которые влияют на стабильность Совместимость Библиография pdf
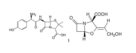
   Химическая структура  

Раствор для перорального приёма

Факторы, которые влияют на стабильность   Раствор для перорального приёма   Факторы, которые влияют на стабильность : Amoxicillin sodium / clavulanic acid        
Ссылки
Температура 25°C Стимулирует Пониженная стабильность 2508
Температура 25°C Стимулирует Деградация 2951

  Mentions Légales