Laatste update :
27/01/2026
Antibioticum   Amoxicillin sodium / clavulanic acid  
Orale Oplossing
injecteerbaar geneesmiddel
Stabiliteit van farmaceutische preparaten Stabiliteit in mengsels Factoren die de stabiliteit beïnvloeden Verenigbaarheden Literatuur pdf
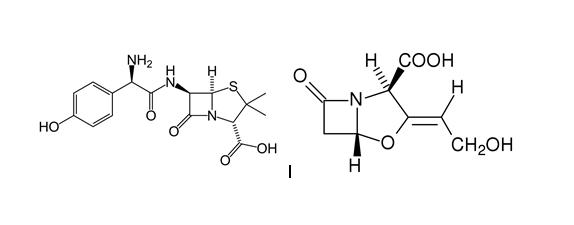
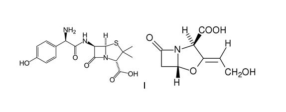
   Molecuulstructuur  

Orale Oplossing

Factoren die de stabiliteit beïnvloeden   Orale Oplossing   Factoren die de stabiliteit beïnvloeden : Amoxicillin sodium / clavulanic acid        
Literatuur
Temperatuur 25°C Veroorzaakt Stabiliteit neemt af 2508
Temperatuur 25°C Veroorzaakt Ontleding 2951

  Mentions Légales