Posledná aktualizácia :
27/01/2026
antibiotikum   Amoxicillin sodium / clavulanic acid  
Perorálny roztok
Injekcia
Stabilita farmaceutických prípravkov Stabilita v zmesiach Faktory ovplyvňujúce stabilitu Kompatibility Odkazy na literatúru PDF
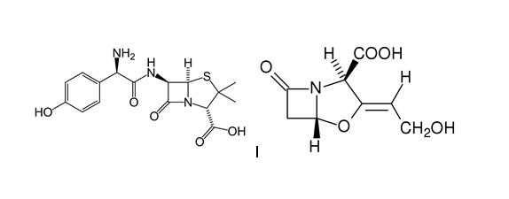
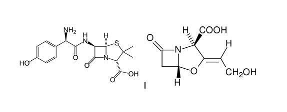
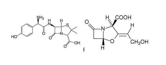
   Chemický vzorec  

Perorálny roztok

Faktory ovplyvňujúce stabilitu   Perorálny roztok   Faktory ovplyvňujúce stabilitu : Amoxicillin sodium / clavulanic acid        
odkazy na lieteratúru
teplota 25°C indukuje znížená stabilita 2508
teplota 25°C indukuje degradácia 2951

  Mentions Légales