Последно актуализиране :
27/01/2026
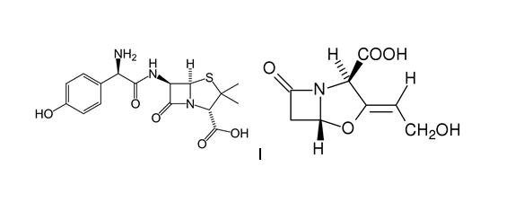
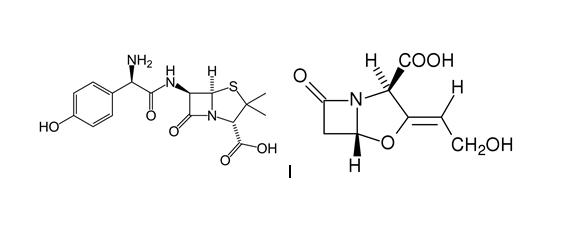
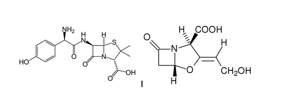
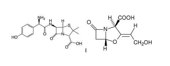
Антибиотик   Amoxicillin sodium / clavulanic acid  
Орален разтвор
Инжекция/Инжекционен
Стабилност на лекарствени препарати Стабилност на смеси Фактори, повлияващи стабилността Съвместимост Библиография Pdf
   Химична структура  

Орален разтвор

Фактори, повлияващи стабилността   Орален разтвор   Фактори, повлияващи стабилността : Amoxicillin sodium / clavulanic acid        
Библиография
Температура 25°C Предизвиква Намалена стабилност 2508
Температура 25°C Предизвиква Разграждане 2951

  Mentions Légales