Senaste uppdateringen :
27/01/2026
Antibiotikum   Amoxicillin sodium / clavulanic acid  
Oral lösning
injektion
Stabilitet av läkemedel Stabilitet i blandningar Faktorer som påverkar stabiliteten Kompatibilitet Hänvisningar pdf
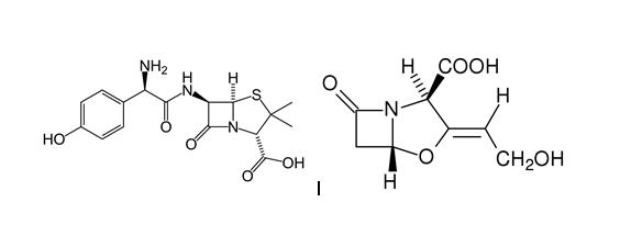
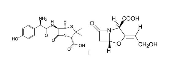
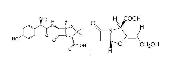
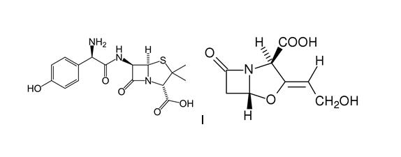
   Molekylstruktur  

Oral lösning

Faktorer som påverkar stabiliteten   Oral lösning   Faktorer som påverkar stabiliteten : Amoxicillin sodium / clavulanic acid        
Hänvisningar
Temperatur 25°C Orsakar Minskad stabilitet 2508
Temperatur 25°C Orsakar Nedbrytning 2951

  Mentions Légales