Ultimele actualizari :
27/01/2026
Antibiotic   Amoxicillin sodium / clavulanic acid  
Soluţie orală
Injectabil
Stabilitatea preparatelor farmaceutice Stabilitatea in amestec Factorii care influenteaza stabilitatea Compatibilitate Bibliografie pdf
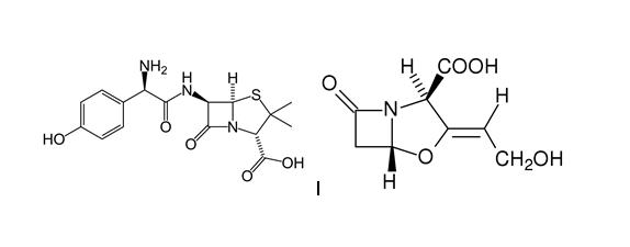
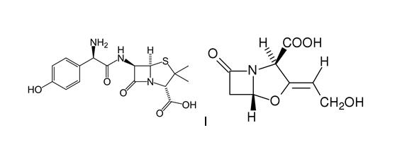
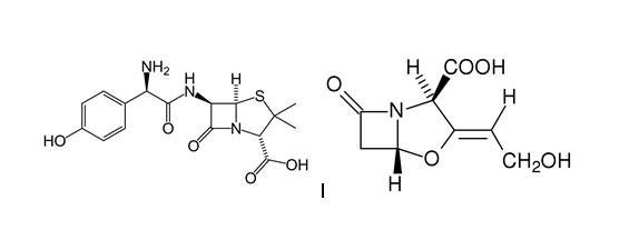
   Formula chimica  

Soluţie orală

Factorii care influenteaza stabilitatea   Soluţie orală   Factorii care influenteaza stabilitatea : Amoxicillin sodium / clavulanic acid        
Bibiografie
Temperatura 25°C Provoaca Diminuarea stabilitatii 2508
Temperatura 25°C Provoaca Degradare 2951

  Mentions Légales