Ultimo aggiornamento :
27/01/2026
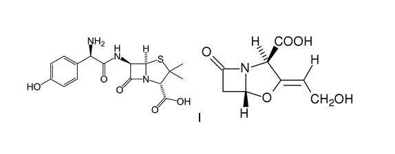
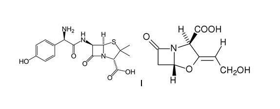
Antibiotico   Amoxicillin sodium / clavulanic acid  
Soluzione orale
Iniezione
Stabilità dei preparati farmaceutici Stabilità in miscela Fattori che influenzano la stabilità Compatibilità Bibliografia pdf
   Struttura chimica  

Soluzione orale

Fattori che influenzano la stabilità   Soluzione orale   Fattori che influenzano la stabilità : Amoxicillin sodium / clavulanic acid        
Bibliografia
Temperatura 25°C Provoca Diminuzione della stabilità 2508
Temperatura 25°C Provoca Degradazione 2951

  Mentions Légales