zadnja posodobitev :
27/01/2026
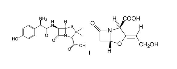
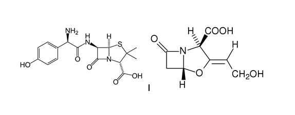
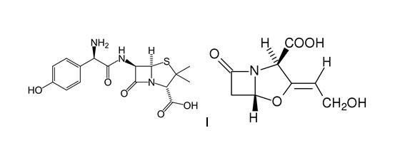
Antibiotik   Amoxicillin sodium / clavulanic acid  
Peroralna raztopina
Brizgalka
Stabilnost farmacevtskih preparatov Stabilnost mešanice Faktorji, ki vplivajo na stabilnost Kompatibilnost Viri pdf
   Kemična formula  

Peroralna raztopina

Faktorji, ki vplivajo na stabilnost   Peroralna raztopina   Faktorji, ki vplivajo na stabilnost : Amoxicillin sodium / clavulanic acid        
Viri
Temperatura 25°C Inducirati Zmanjšana stabilnost 2508
Temperatura 25°C Inducirati Degradacija 2951

  Mentions Légales