Τελευταία ενημέρωση :
27/01/2026
Αντιβιοτικό   Amoxicillin sodium / clavulanic acid  
Πόσιμο διάλυμα
Ενέσιμο
Σταθερότητα και συμβατότητα των φαρμάκων Σταθερότητα σε μίγματα Παράγοντας που επηρεάζει τη σταθερότητα Συμβατότητες Βιβλιογραφία pdf
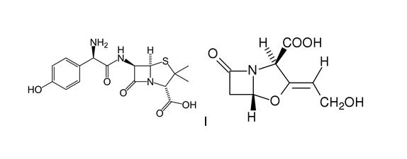
   χημική δομή  

Πόσιμο διάλυμα

Παράγοντας που επηρεάζει τη σταθερότητα   Πόσιμο διάλυμα   Παράγοντας που επηρεάζει τη σταθερότητα : Amoxicillin sodium / clavulanic acid        
Βιβλιογραφία
Θερμοκρασία 25°C Προκαλεί Μείωση της σταθερότητας 2508
Θερμοκρασία 25°C Προκαλεί Αποδόμηση 2951

  Mentions Légales