Ostatnia aktualizacja :
27/01/2026
Antybiotyk   Amoxicillin sodium / clavulanic acid  
Roztwór doustny
Injekcje
Stabilność preparatów farmaceutycznych Trwałość w mieszaninie Czynnik wpływający na trwałość Zgodność Bibliografia pdf
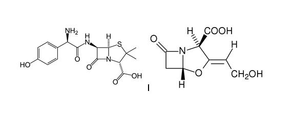
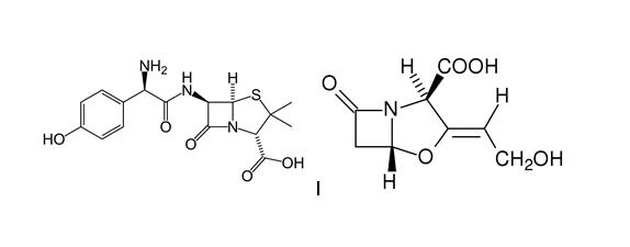
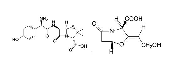
   Struktura chemiczna  

Roztwór doustny

Czynnik wpływający na trwałość   Roztwór doustny   Czynnik wpływający na trwałość : Amoxicillin sodium / clavulanic acid        
Bibliografia
Temperatura 25°C Wywołuje Obniżona trwałość 2508
Temperatura 25°C Wywołuje Degradacja 2951

  Mentions Légales