Seneste opdatering :
27/01/2026
Antibiotisk   Amoxicillin sodium / clavulanic acid  
Oral opløsning
Injektion
Stabilitet af farmaceutiske tilberedninger Stabilitet i blandinger Faktorer der påvirker stabiliteten Kompatibilitet Bibliografi pdf
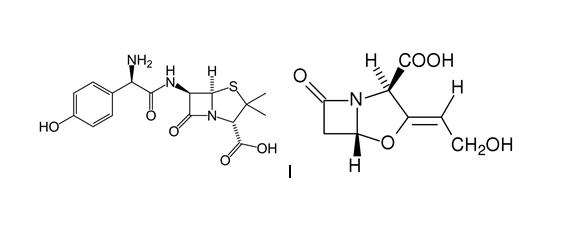
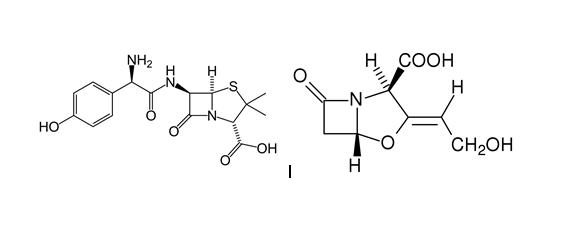
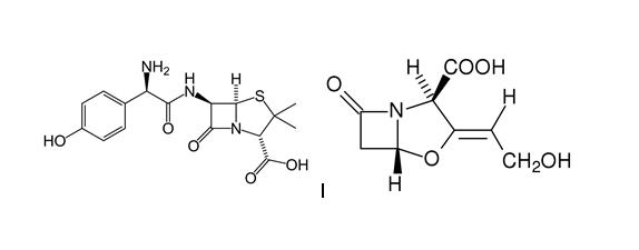
   Kemisk struktur  

Oral opløsning

Faktorer der påvirker stabiliteten   Oral opløsning   Faktorer der påvirker stabiliteten : Amoxicillin sodium / clavulanic acid        
Bibliografi
Temperatur 25°C Fremkalde Nedsat stabilitet 2508
Temperatur 25°C Fremkalde Nedbrydning 2951

  Mentions Légales