Poslední aktualizace :
27/01/2026
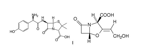
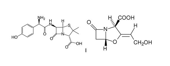
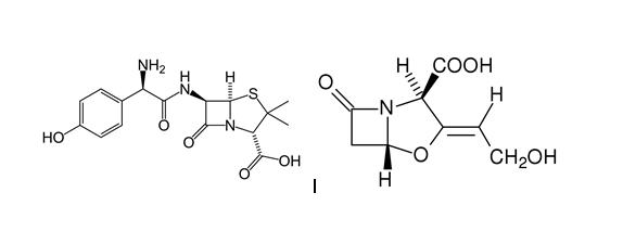
Antibiotikas   Amoxicillin sodium / clavulanic acid  
Geriamas tirpalas
Įpurškimas
Stabilumas farmacinių preparatų Mišinių stabilumas Stabilumą lemiantys veiksniai Suderinamumas Bibliografija pdf
   Cheminė sandara  

Geriamas tirpalas

Stabilumą lemiantys veiksniai   Geriamas tirpalas   Stabilumą lemiantys veiksniai : Amoxicillin sodium / clavulanic acid        
Nuorodos
Temperatūra 25°C Skatina Mažesnis stabilumas 2508
Temperatūra 25°C Skatina Skilimas 2951

  Mentions Légales