viimane versioon :
27/01/2026
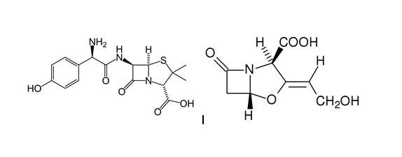
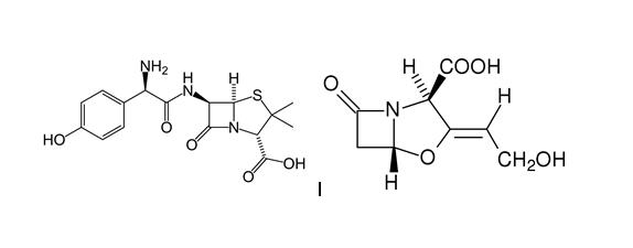
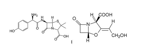
antibiootikum   Amoxicillin sodium / clavulanic acid  
suukaudne lahus
Süsteravim
Stabiilsust ravimpreparaadid Stabiilsust mõjutavad tegurid stabiilsust mõjutavad faktorid Sobimatus Viited pdf
   keemiline struktuur  

suukaudne lahus

stabiilsust mõjutavad faktorid   suukaudne lahus   stabiilsust mõjutavad faktorid : Amoxicillin sodium / clavulanic acid        
Viited
temperatuur 25°C indutseerib vähenenud stabiilsus 2508
temperatuur 25°C indutseerib degradatsioon 2951

  Mentions Légales