Pēdējā atjaunošana :
27/01/2026
Antibiotika   Amoxicillin sodium / clavulanic acid  
Orāls šķīdums
Injekcija
Stabilitāte farmaceitisko preparātu Maisījuma stabilitāte Stabilitāti ietekmējoši faktori Saderība Literatūras saraksts pdf
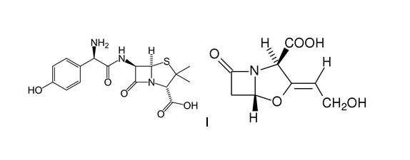
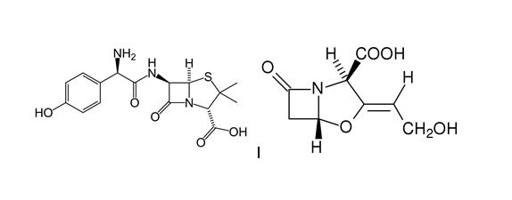
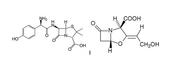
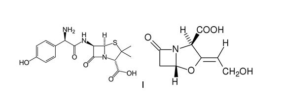
   Ķīmiskā uzbūve   

Orāls šķīdums

Stabilitāti ietekmējoši faktori   Orāls šķīdums   Stabilitāti ietekmējoši faktori : Amoxicillin sodium / clavulanic acid        
Literatūras saraksts
Temperatūra 25°C Izraisošs Stabilitātes samazināšana 2508
Temperatūra 25°C Izraisošs Deģenerācija 2951

  Mentions Légales