Cập nhật lần cuối :
27/04/2026
thuốc trị ung thư   Cyclophosphamide  
Dạng tiêm
Dung dịch uống Viên nang
Tính ổn định của các dung dịch Độ ổn định khi trộn lẫn Những yếu tố ảnh hưởng đến độ ổn định Khả năng tương thích Đường dùng Tài liệu tham khảo Pdf
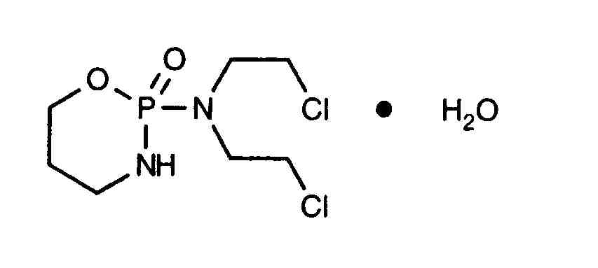
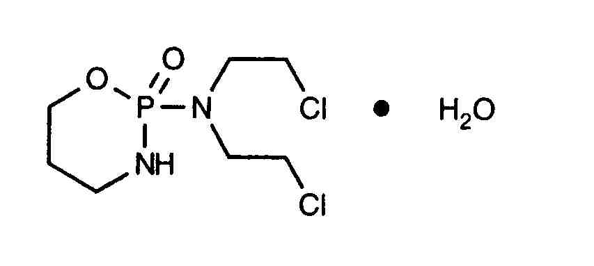
   Cấu trúc hóa học  

Tên thương mại   Tên thương mại     

Các tên thương mại được cung cấp và thành phần tá dược có thể khác nhau giữa các quốc gia và các hãng dược

Alkyloxan Ả Rập, Malaysia
Celomide Ấn Độ
Ciclofosfamida Argentina, Chile, Romania
Cicloxal Tây Ban Nha
Cryofaxol Mexico
Cycloblastin Úc
Cycloblastine Hà Lan
Cyclophosphamid Đan Mạch, Đức
Cyclophosphamide Ả Rập Saudi, Anh, Hoa Kỳ, new zealand
Cyclostin Đức
Cycloxan Malaysia
Cycram Ả Rập
Cytoxan Canada, Hoa Kỳ, Hungary
Eldamide Ấn Độ
Endoxan Ả Rập Saudi, Ấn Độ, Áo, Ba Lan, Bỉ, Bồ Đào Nha, Chile, Colombia, Croatia, Ecuador, Hà Lan, Hungary, Hy Lạp, Iran, Luxembourg, Morocco, new zealand, Pháp, Slovenia, Thái Lan, Thổ Nhĩ Kỳ, Thụy Sỹ, Tunisia, Úc, United Arab Emirates, Venezuela, Ý, Đức
Endoxana Anh, Ireland
Formitex Colombia, Mexico
Genoxal Tây Ban Nha
Genuxal Brazil
Hidrofosmin Mexico
Ledoxan Colombia
Ledoxina Colombia, Mexico
Neophos Ả Rập
Neosar Hoa Kỳ
Procytox Canada
Sendoxan Iceland, Na Uy, Phần Lan, Thụy Điển, Đan Mạch
Syklofosfamid Phần Lan, Thổ Nhĩ Kỳ
Độ ổn định khi trộn lẫn   Dạng tiêm   Độ ổn định khi trộn lẫn : Cyclophosphamide     
Bao bì Dung môi Nồng độ Phân tử Nhiệt độ Bảo quản Thời gian ổn định Mục lục
Thủy tinh Nước cất pha tiêm 1 mg/ml
Dạng tiêm   Cyclophosphamide   
Dạng tiêm   Granisetron hydrochloride 0,5 mg/ml
20°C-23°C
4 Giờ
Ánh sáng 57
Cấp độ bằng chứng A+
Thủy tinh Glucose 5% 10 mg/ml
Dạng tiêm   Cyclophosphamide   
Dạng tiêm   Palonosetron hydrochloride 50 µg/ml
25°C
4 Giờ
Ánh sáng 2016
Cấp độ bằng chứng A+
Nhựa polyvinyl chloride NaCl 0,9% 1 mg/ml
Dạng tiêm   Cyclophosphamide   
Dạng tiêm   Mesna 0,2 & 1 mg/ml
20°C
24 Giờ
Ánh sáng 2104
Cấp độ bằng chứng D
Nhựa polyvinyl chloride NaCl 0,9% 5 mg/ml
Dạng tiêm   Cyclophosphamide   
Dạng tiêm   Mesna 1 mg/ml
20°C
24 Giờ
Ánh sáng 2104
Cấp độ bằng chứng D
Nhựa polyvinyl chloride NaCl 0,9% 10 mg/ml
Dạng tiêm   Cyclophosphamide   
Dạng tiêm   Mesna 2 & 10 mg/ml
20°C
24 Giờ
Ánh sáng 2104
Cấp độ bằng chứng D
Nhựa polyvinyl chloride NaCl 0,9% 0,3 mg/ml
Dạng tiêm   Cyclophosphamide   
Dạng tiêm   Ondansetron hydrochloride 0,05 mg/ml
23°C-25°C
4 Ngày
Ánh sáng 50
Cấp độ bằng chứng B
Nhựa polyvinyl chloride NaCl 0,9% 2 mg/ml
Dạng tiêm   Cyclophosphamide   
Dạng tiêm   Ondansetron hydrochloride 0,4 mg/ml
23°C-25°C
4 Ngày
Ánh sáng 50
Cấp độ bằng chứng B
Nhựa polyvinyl chloride NaCl 0,9% 0,3 mg/ml
Dạng tiêm   Cyclophosphamide   
Dạng tiêm   Ondansetron hydrochloride 0,05 mg/ml
4°C
8 Ngày
Ánh sáng 50
Cấp độ bằng chứng B
Nhựa polyvinyl chloride NaCl 0,9% 2 mg/ml
Dạng tiêm   Cyclophosphamide   
Dạng tiêm   Ondansetron hydrochloride 0,4 mg/ml
4°C
8 Ngày
Ánh sáng 50
Cấp độ bằng chứng B
Nhựa polyvinyl chloride Glucose 5% 0,3 mg/ml
Dạng tiêm   Cyclophosphamide   
Dạng tiêm   Ondansetron hydrochloride 0,05 mg/ml
23°C-25°C
4 Ngày
Ánh sáng 50
Cấp độ bằng chứng B
Nhựa polyvinyl chloride Glucose 5% 2 mg/ml
Dạng tiêm   Cyclophosphamide   
Dạng tiêm   Ondansetron hydrochloride 0,4 mg/ml
23°C-25°C
4 Ngày
Ánh sáng 50
Cấp độ bằng chứng B
Nhựa polyvinyl chloride Glucose 5% 0,3 mg/ml
Dạng tiêm   Cyclophosphamide   
Dạng tiêm   Ondansetron hydrochloride 0,05 mg/ml
4°C
8 Ngày
Ánh sáng 50
Cấp độ bằng chứng B
Nhựa polyvinyl chloride Glucose 5% 2 mg/ml
Dạng tiêm   Cyclophosphamide   
Dạng tiêm   Ondansetron hydrochloride 0,4 mg/ml
4°C
8 Ngày
Ánh sáng 50
Cấp độ bằng chứng B
Nhựa polyethylen Glucose 5% 1,8 mg/ml
Dạng tiêm   Cyclophosphamide   
Dạng tiêm   Mesna 0,54 mg/ml
22°C
6 Giờ
Ánh sáng 1833
Cấp độ bằng chứng D
Nhựa polyethylen Glucose 5% 10,8 mg/ml
Dạng tiêm   Cyclophosphamide   
Dạng tiêm   Mesna 3,2 mg/ml
22°C
24 Giờ
Ánh sáng 1833
Cấp độ bằng chứng D
Nhựa polyethylen Glucose 5% 10,8 mg/ml
Dạng tiêm   Cyclophosphamide   
Dạng tiêm   Mesna 3,2 mg/ml
4°C
48 Giờ
Không rõ 1833
Cấp độ bằng chứng D
Nhựa polyethylen Glucose 5% 1,8 mg/ml
Dạng tiêm   Cyclophosphamide   
Dạng tiêm   Mesna 0,54 mg/ml
4°C
48 Giờ
Không rõ 1833
Cấp độ bằng chứng D
Không rõ NaCl 0,9% 10 mg/ml
Dạng tiêm   Cyclophosphamide   
Dạng tiêm   Topotecan 0,028 mg/ml
20°C-23°C
4 Giờ
Ánh sáng 1026
Cấp độ bằng chứng C
Không rõ Glucose 5% 10 mg/ml
Dạng tiêm   Cyclophosphamide   
Dạng tiêm   Topotecan 0,028 mg/ml
20°C-23°C
4 Giờ
Ánh sáng 1026
Cấp độ bằng chứng C

  Mentions Légales