Senaste uppdateringen :
27/04/2026
cancerläkemedel   Cyclophosphamide  
injektion
Kapsel Oral lösning
Lösningars stabilitet Stabilitet i blandningar Faktorer som påverkar stabiliteten Kompatibilitet Administreringssätt Hänvisningar pdf
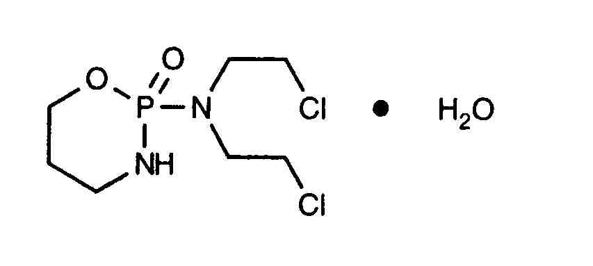
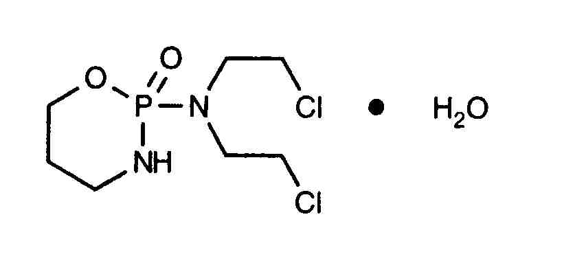
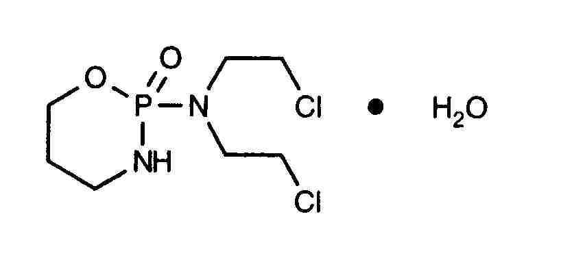
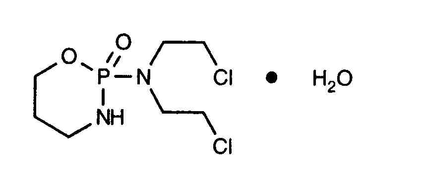
   Molekylstruktur  

Varunamn   Varunamn     

Angivna handelsnamn på läkemedel är enbart vägledande då formulering inklusive hjälpämnen kan variera mellan länder och tillverkare

Alkyloxan Egypten, Malaysia
Celomide Indien
Ciclofosfamida Argentina, Chile, Rumänien
Cicloxal Spanien
Cryofaxol Mexiko
Cycloblastin Australien
Cycloblastine Nederländerna
Cyclophosphamid Danmark, Tyskland
Cyclophosphamide Förenta Staterna, nya Zeeland, Saudi-Arabien, Storbritannien
Cyclostin Tyskland
Cycloxan Malaysia
Cycram Egypten
Cytoxan Förenta Staterna, Kanada, Ungern
Eldamide Indien
Endoxan Australien, Belgien, Chile, Colombia, Ecuador, Förenade Arabemiraten, Frankrike, Grekland, Indien, Iran, Italien, Kroatien, Luxemburg, Marocko, Nederländerna, nya Zeeland, Österrike, Polen, Portugal, Saudi-Arabien, Schweiz, Slovenien, Thailand, Tunisien, Turkiet, Tyskland, Ungern, Venezuela
Endoxana Irland, Storbritannien
Formitex Colombia, Mexiko
Genoxal Spanien
Genuxal Brasilien
Hidrofosmin Mexiko
Ledoxan Colombia
Ledoxina Colombia, Mexiko
Neophos Egypten
Neosar Förenta Staterna
Procytox Kanada
Sendoxan Danmark, Finland, Island, Norge, Sverige
Syklofosfamid Finland, Turkiet
Stabilitet i blandningar   injektion   Stabilitet i blandningar : Cyclophosphamide     
Behållare Lösningsmedel Koncentration Substans Temperatur Förvaring Stabilitets varaktighet Hänvisningar
Glas Vatten för injektion 1 mg/ml
injektion   Cyclophosphamide   
injektion   Granisetron hydrochloride 0,5 mg/ml
20°C-23°C
4 Timma
Ljus 57
Evidensnivå A+
Glas Glukos 5 % 10 mg/ml
injektion   Cyclophosphamide   
injektion   Palonosetron hydrochloride 50 µg/ml
25°C
4 Timma
Ljus 2016
Evidensnivå A+
Polyvinylklorid Natriumklorid 0,9 % 1 mg/ml
injektion   Cyclophosphamide   
injektion   Mesna 0,2 & 1 mg/ml
20°C
24 Timma
Ljus 2104
Evidensnivå D
Polyvinylklorid Natriumklorid 0,9 % 5 mg/ml
injektion   Cyclophosphamide   
injektion   Mesna 1 mg/ml
20°C
24 Timma
Ljus 2104
Evidensnivå D
Polyvinylklorid Natriumklorid 0,9 % 10 mg/ml
injektion   Cyclophosphamide   
injektion   Mesna 2 & 10 mg/ml
20°C
24 Timma
Ljus 2104
Evidensnivå D
Polyvinylklorid Natriumklorid 0,9 % 0,3 mg/ml
injektion   Cyclophosphamide   
injektion   Ondansetron hydrochloride 0,05 mg/ml
23°C-25°C
4 Dag
Ljus 50
Evidensnivå B
Polyvinylklorid Natriumklorid 0,9 % 2 mg/ml
injektion   Cyclophosphamide   
injektion   Ondansetron hydrochloride 0,4 mg/ml
23°C-25°C
4 Dag
Ljus 50
Evidensnivå B
Polyvinylklorid Natriumklorid 0,9 % 0,3 mg/ml
injektion   Cyclophosphamide   
injektion   Ondansetron hydrochloride 0,05 mg/ml
4°C
8 Dag
Ljus 50
Evidensnivå B
Polyvinylklorid Natriumklorid 0,9 % 2 mg/ml
injektion   Cyclophosphamide   
injektion   Ondansetron hydrochloride 0,4 mg/ml
4°C
8 Dag
Ljus 50
Evidensnivå B
Polyvinylklorid Glukos 5 % 0,3 mg/ml
injektion   Cyclophosphamide   
injektion   Ondansetron hydrochloride 0,05 mg/ml
23°C-25°C
4 Dag
Ljus 50
Evidensnivå B
Polyvinylklorid Glukos 5 % 2 mg/ml
injektion   Cyclophosphamide   
injektion   Ondansetron hydrochloride 0,4 mg/ml
23°C-25°C
4 Dag
Ljus 50
Evidensnivå B
Polyvinylklorid Glukos 5 % 0,3 mg/ml
injektion   Cyclophosphamide   
injektion   Ondansetron hydrochloride 0,05 mg/ml
4°C
8 Dag
Ljus 50
Evidensnivå B
Polyvinylklorid Glukos 5 % 2 mg/ml
injektion   Cyclophosphamide   
injektion   Ondansetron hydrochloride 0,4 mg/ml
4°C
8 Dag
Ljus 50
Evidensnivå B
Polyetylen Glukos 5 % 1,8 mg/ml
injektion   Cyclophosphamide   
injektion   Mesna 0,54 mg/ml
22°C
6 Timma
Ljus 1833
Evidensnivå D
Polyetylen Glukos 5 % 10,8 mg/ml
injektion   Cyclophosphamide   
injektion   Mesna 3,2 mg/ml
22°C
24 Timma
Ljus 1833
Evidensnivå D
Polyetylen Glukos 5 % 10,8 mg/ml
injektion   Cyclophosphamide   
injektion   Mesna 3,2 mg/ml
4°C
48 Timma
Ej angiven 1833
Evidensnivå D
Polyetylen Glukos 5 % 1,8 mg/ml
injektion   Cyclophosphamide   
injektion   Mesna 0,54 mg/ml
4°C
48 Timma
Ej angiven 1833
Evidensnivå D
Ej angiven Natriumklorid 0,9 % 10 mg/ml
injektion   Cyclophosphamide   
injektion   Topotecan 0,028 mg/ml
20°C-23°C
4 Timma
Ljus 1026
Evidensnivå C
Ej angiven Glukos 5 % 10 mg/ml
injektion   Cyclophosphamide   
injektion   Topotecan 0,028 mg/ml
20°C-23°C
4 Timma
Ljus 1026
Evidensnivå C

  Mentions Légales