Posledná aktualizácia :
27/04/2026
Protinádorová liečba   Cyclophosphamide  
Injekcia
Kapsula Perorálny roztok
Stabilita roztokov Stabilita v zmesiach Faktory ovplyvňujúce stabilitu Kompatibility spôsob podania Odkazy na literatúru PDF
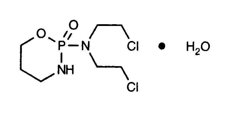
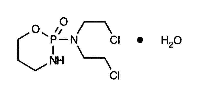
   Chemický vzorec  

Obchodný názov   Obchodný názov     

Obchodné názvy sú orientačné, a zloženie pomocných látok sa môže líšiť v závislosti od krajiny a výrobcu.

Alkyloxan Egypt, Malajzia
Celomide India
Ciclofosfamida Argentína, Čile, Rumunsko
Cicloxal Španielsko
Cryofaxol Mexiko
Cycloblastin Austrália
Cycloblastine Holandsko
Cyclophosphamid Dánsko, Nemecko
Cyclophosphamide nový Zéland, Saudská Arábia, Spojené štáty Americké, Veľká Británia
Cyclostin Nemecko
Cycloxan Malajzia
Cycram Egypt
Cytoxan Kanada, Maďarsko, Spojené štáty Americké
Eldamide India
Endoxan Austrália, Belgicko, Chorvátsko, Čile, Ekvádor, Francúzsko, Grécko, Holandsko, India, Irán, Kolumbia, Luxembursko, Maďarsko, Maroko, Nemecko, nový Zéland, Poľsko, Portugalsko, Rakúsko, Saudská Arábia, Slovinsko, Spojené arabské emiráty, Švajčiarsko, Taliansko, Thajsko, Tunisko, Turecko, Venezuela
Endoxana Írsko, Veľká Británia
Formitex Kolumbia, Mexiko
Genoxal Španielsko
Genuxal Brazília
Hidrofosmin Mexiko
Ledoxan Kolumbia
Ledoxina Kolumbia, Mexiko
Neophos Egypt
Neosar Spojené štáty Americké
Procytox Kanada
Sendoxan Dánsko, Fínsko, Island, Nórsko, Švédsko
Syklofosfamid Fínsko, Turecko
Stabilita v zmesiach   Injekcia   Stabilita v zmesiach : Cyclophosphamide     
obal rozpúšťadlo koncentrácia Zlúčenina teplota uchovávanie Trvanie stability odkazy na lieteratúru
Sklo voda na injekciu 1 mg/ml
Injekcia   Cyclophosphamide   
Injekcia   Granisetron hydrochloride 0,5 mg/ml
20°C-23°C
4 hodín
Za svetla 57
Úroveň dôkazov A+
Sklo 5% glukóza 10 mg/ml
Injekcia   Cyclophosphamide   
Injekcia   Palonosetron hydrochloride 50 µg/ml
25°C
4 hodín
Za svetla 2016
Úroveň dôkazov A+
polyvinylchlorid (PVC) 0,9% chlorid sodný 1 mg/ml
Injekcia   Cyclophosphamide   
Injekcia   Mesna 0,2 & 1 mg/ml
20°C
24 hodín
Za svetla 2104
Úroveň dôkazov D
polyvinylchlorid (PVC) 0,9% chlorid sodný 5 mg/ml
Injekcia   Cyclophosphamide   
Injekcia   Mesna 1 mg/ml
20°C
24 hodín
Za svetla 2104
Úroveň dôkazov D
polyvinylchlorid (PVC) 0,9% chlorid sodný 10 mg/ml
Injekcia   Cyclophosphamide   
Injekcia   Mesna 2 & 10 mg/ml
20°C
24 hodín
Za svetla 2104
Úroveň dôkazov D
polyvinylchlorid (PVC) 0,9% chlorid sodný 0,3 mg/ml
Injekcia   Cyclophosphamide   
Injekcia   Ondansetron hydrochloride 0,05 mg/ml
23°C-25°C
4 dní
Za svetla 50
Úroveň dôkazov B
polyvinylchlorid (PVC) 0,9% chlorid sodný 2 mg/ml
Injekcia   Cyclophosphamide   
Injekcia   Ondansetron hydrochloride 0,4 mg/ml
23°C-25°C
4 dní
Za svetla 50
Úroveň dôkazov B
polyvinylchlorid (PVC) 0,9% chlorid sodný 0,3 mg/ml
Injekcia   Cyclophosphamide   
Injekcia   Ondansetron hydrochloride 0,05 mg/ml
4°C
8 dní
Za svetla 50
Úroveň dôkazov B
polyvinylchlorid (PVC) 0,9% chlorid sodný 2 mg/ml
Injekcia   Cyclophosphamide   
Injekcia   Ondansetron hydrochloride 0,4 mg/ml
4°C
8 dní
Za svetla 50
Úroveň dôkazov B
polyvinylchlorid (PVC) 5% glukóza 0,3 mg/ml
Injekcia   Cyclophosphamide   
Injekcia   Ondansetron hydrochloride 0,05 mg/ml
23°C-25°C
4 dní
Za svetla 50
Úroveň dôkazov B
polyvinylchlorid (PVC) 5% glukóza 2 mg/ml
Injekcia   Cyclophosphamide   
Injekcia   Ondansetron hydrochloride 0,4 mg/ml
23°C-25°C
4 dní
Za svetla 50
Úroveň dôkazov B
polyvinylchlorid (PVC) 5% glukóza 0,3 mg/ml
Injekcia   Cyclophosphamide   
Injekcia   Ondansetron hydrochloride 0,05 mg/ml
4°C
8 dní
Za svetla 50
Úroveň dôkazov B
polyvinylchlorid (PVC) 5% glukóza 2 mg/ml
Injekcia   Cyclophosphamide   
Injekcia   Ondansetron hydrochloride 0,4 mg/ml
4°C
8 dní
Za svetla 50
Úroveň dôkazov B
polyetylén 5% glukóza 1,8 mg/ml
Injekcia   Cyclophosphamide   
Injekcia   Mesna 0,54 mg/ml
22°C
6 hodín
Za svetla 1833
Úroveň dôkazov D
polyetylén 5% glukóza 10,8 mg/ml
Injekcia   Cyclophosphamide   
Injekcia   Mesna 3,2 mg/ml
22°C
24 hodín
Za svetla 1833
Úroveň dôkazov D
polyetylén 5% glukóza 10,8 mg/ml
Injekcia   Cyclophosphamide   
Injekcia   Mesna 3,2 mg/ml
4°C
48 hodín
nešpecifikované 1833
Úroveň dôkazov D
polyetylén 5% glukóza 1,8 mg/ml
Injekcia   Cyclophosphamide   
Injekcia   Mesna 0,54 mg/ml
4°C
48 hodín
nešpecifikované 1833
Úroveň dôkazov D
nešpecifikované 0,9% chlorid sodný 10 mg/ml
Injekcia   Cyclophosphamide   
Injekcia   Topotecan 0,028 mg/ml
20°C-23°C
4 hodín
Za svetla 1026
Úroveň dôkazov C
nešpecifikované 5% glukóza 10 mg/ml
Injekcia   Cyclophosphamide   
Injekcia   Topotecan 0,028 mg/ml
20°C-23°C
4 hodín
Za svetla 1026
Úroveň dôkazov C

  Mentions Légales