Poslední aktualizace :
27/04/2026
vėžio narkotikų   Cyclophosphamide  
Įpurškimas
Geriamas tirpalas Kapsulė
Tirpalų stabilumas Mišinių stabilumas Stabilumą lemiantys veiksniai Suderinamumas Leidimo būdai Bibliografija pdf
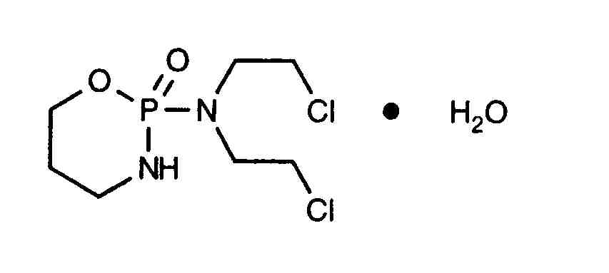
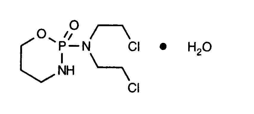
   Cheminė sandara  

Prekinis pavadinimas   Prekinis pavadinimas     

Trade names are indicative and excipients composition can be different depending on the country and manufacturers

Alkyloxan Egiptas, Malaizija
Celomide Indija
Ciclofosfamida Argentina, Čilė, Rumunija
Cicloxal Ispanija
Cryofaxol Meksikas
Cycloblastin Australija
Cycloblastine Olandija
Cyclophosphamid Danija, Vokietija
Cyclophosphamide Didžioji Britanija, Jungtinės Amerikos Valstijos, Naujojoje Zelandijoje, Saudo Arabija
Cyclostin Vokietija
Cycloxan Malaizija
Cycram Egiptas
Cytoxan Jungtinės Amerikos Valstijos, Kanada, Vengrija
Eldamide Indija
Endoxan Australija, Austrija, Belgija, Čilė, Ekvadoras, Graikija, Indija, Iranas, Italija, Jungtiniai Arabų Emyratai, Kolumbija, Kroatija, Lenkija, Liuksemburgas, Marokas, Naujojoje Zelandijoje, Olandija, Portugalija, Prancūzija, Saudo Arabija, Slovėnija, Šveicarija, Tailandas, Tunisas, Turkija, Venesuela, Vengrija, Vokietija
Endoxana Airija, Didžioji Britanija
Formitex Kolumbija, Meksikas
Genoxal Ispanija
Genuxal Brazilija
Hidrofosmin Meksikas
Ledoxan Kolumbija
Ledoxina Kolumbija, Meksikas
Neophos Egiptas
Neosar Jungtinės Amerikos Valstijos
Procytox Kanada
Sendoxan Danija, Islandija, Norvegija, Suomija, Švedija
Syklofosfamid Suomija, Turkija
Mišinių stabilumas   Įpurškimas   Mišinių stabilumas : Cyclophosphamide     
Pakuotė Tirpiklis Koncentracija Molekulė Temperatūra Laikymas Stabilumo trukmė Nuorodos
Stiklas Vanduo injekcijoms 1 mg/ml
Įpurškimas   Cyclophosphamide   
Įpurškimas   Granisetron hydrochloride 0,5 mg/ml
20°C-23°C
4 Valanda
Šviesa 57
Bandymo lygis A+
Stiklas Gliukozė 5% 10 mg/ml
Įpurškimas   Cyclophosphamide   
Įpurškimas   Palonosetron hydrochloride 50 µg/ml
25°C
4 Valanda
Šviesa 2016
Bandymo lygis A+
Polivinilchloridas Natrio chloridas 0,9% 1 mg/ml
Įpurškimas   Cyclophosphamide   
Įpurškimas   Mesna 0,2 & 1 mg/ml
20°C
24 Valanda
Šviesa 2104
Bandymo lygis D
Polivinilchloridas Natrio chloridas 0,9% 5 mg/ml
Įpurškimas   Cyclophosphamide   
Įpurškimas   Mesna 1 mg/ml
20°C
24 Valanda
Šviesa 2104
Bandymo lygis D
Polivinilchloridas Natrio chloridas 0,9% 10 mg/ml
Įpurškimas   Cyclophosphamide   
Įpurškimas   Mesna 2 & 10 mg/ml
20°C
24 Valanda
Šviesa 2104
Bandymo lygis D
Polivinilchloridas Natrio chloridas 0,9% 0,3 mg/ml
Įpurškimas   Cyclophosphamide   
Įpurškimas   Ondansetron hydrochloride 0,05 mg/ml
23°C-25°C
4 Diena
Šviesa 50
Bandymo lygis B
Polivinilchloridas Natrio chloridas 0,9% 2 mg/ml
Įpurškimas   Cyclophosphamide   
Įpurškimas   Ondansetron hydrochloride 0,4 mg/ml
23°C-25°C
4 Diena
Šviesa 50
Bandymo lygis B
Polivinilchloridas Natrio chloridas 0,9% 0,3 mg/ml
Įpurškimas   Cyclophosphamide   
Įpurškimas   Ondansetron hydrochloride 0,05 mg/ml
4°C
8 Diena
Šviesa 50
Bandymo lygis B
Polivinilchloridas Natrio chloridas 0,9% 2 mg/ml
Įpurškimas   Cyclophosphamide   
Įpurškimas   Ondansetron hydrochloride 0,4 mg/ml
4°C
8 Diena
Šviesa 50
Bandymo lygis B
Polivinilchloridas Gliukozė 5% 0,3 mg/ml
Įpurškimas   Cyclophosphamide   
Įpurškimas   Ondansetron hydrochloride 0,05 mg/ml
23°C-25°C
4 Diena
Šviesa 50
Bandymo lygis B
Polivinilchloridas Gliukozė 5% 2 mg/ml
Įpurškimas   Cyclophosphamide   
Įpurškimas   Ondansetron hydrochloride 0,4 mg/ml
23°C-25°C
4 Diena
Šviesa 50
Bandymo lygis B
Polivinilchloridas Gliukozė 5% 0,3 mg/ml
Įpurškimas   Cyclophosphamide   
Įpurškimas   Ondansetron hydrochloride 0,05 mg/ml
4°C
8 Diena
Šviesa 50
Bandymo lygis B
Polivinilchloridas Gliukozė 5% 2 mg/ml
Įpurškimas   Cyclophosphamide   
Įpurškimas   Ondansetron hydrochloride 0,4 mg/ml
4°C
8 Diena
Šviesa 50
Bandymo lygis B
Polietilenas Gliukozė 5% 1,8 mg/ml
Įpurškimas   Cyclophosphamide   
Įpurškimas   Mesna 0,54 mg/ml
22°C
6 Valanda
Šviesa 1833
Bandymo lygis D
Polietilenas Gliukozė 5% 10,8 mg/ml
Įpurškimas   Cyclophosphamide   
Įpurškimas   Mesna 3,2 mg/ml
22°C
24 Valanda
Šviesa 1833
Bandymo lygis D
Polietilenas Gliukozė 5% 10,8 mg/ml
Įpurškimas   Cyclophosphamide   
Įpurškimas   Mesna 3,2 mg/ml
4°C
48 Valanda
Nenurodyta 1833
Bandymo lygis D
Polietilenas Gliukozė 5% 1,8 mg/ml
Įpurškimas   Cyclophosphamide   
Įpurškimas   Mesna 0,54 mg/ml
4°C
48 Valanda
Nenurodyta 1833
Bandymo lygis D
Nenurodyta Natrio chloridas 0,9% 10 mg/ml
Įpurškimas   Cyclophosphamide   
Įpurškimas   Topotecan 0,028 mg/ml
20°C-23°C
4 Valanda
Šviesa 1026
Bandymo lygis C
Nenurodyta Gliukozė 5% 10 mg/ml
Įpurškimas   Cyclophosphamide   
Įpurškimas   Topotecan 0,028 mg/ml
20°C-23°C
4 Valanda
Šviesa 1026
Bandymo lygis C

  Mentions Légales