Ultimo aggiornamento :
27/04/2026
farmaco contro il cancro   Cyclophosphamide  
Iniezione
Capsula Soluzione orale
Stabilità in soluzione Stabilità in miscela Fattori che influenzano la stabilità Compatibilità metodo di iniezione Bibliografia pdf
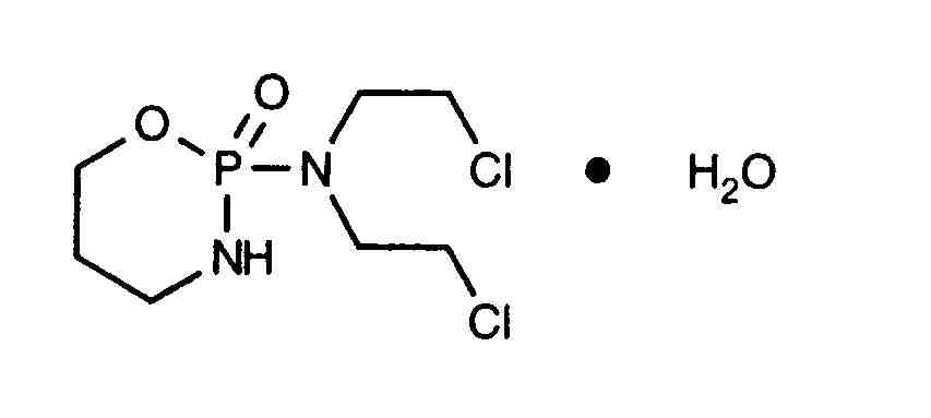
   Struttura chimica  

Nome commerciale   Nome commerciale     

Trade names are indicative and excipients composition can be different depending on the country and manufacturers

Alkyloxan Egitto, Malaysia
Celomide India
Ciclofosfamida Argentina, Chile, Romania
Cicloxal Spagna
Cryofaxol Messico
Cycloblastin Australia
Cycloblastine Paesi Bassi
Cyclophosphamid Danimarca, Germania
Cyclophosphamide Arabia Saudita, Gran Bretagna, nuova Zelanda, Stati Uniti d’America
Cyclostin Germania
Cycloxan Malaysia
Cycram Egitto
Cytoxan Canada, Stati Uniti d’America, Ungheria
Eldamide India
Endoxan Arabia Saudita, Australia, Austria, Belgio, Chile, Colombia, Croazia, Ecuador, Emirati Arabi Uniti, Francia, Germania, Grecia, India, Iran, Italia, Lussemburgo, Marocco, nuova Zelanda, Paesi Bassi, Polonia, Portogallo, Slovenia, Svizzera, Tailandia, Tunisia, Turchia, Ungheria, Venezuela
Endoxana Gran Bretagna, Irlanda
Formitex Colombia, Messico
Genoxal Spagna
Genuxal Brasile
Hidrofosmin Messico
Ledoxan Colombia
Ledoxina Colombia, Messico
Neophos Egitto
Neosar Stati Uniti d’America
Procytox Canada
Sendoxan Danimarca, Finlandia, Islanda, Norvegia, Svezia
Syklofosfamid Finlandia, Turchia
Stabilità in miscela   Iniezione   Stabilità in miscela : Cyclophosphamide     
contenitore Solvente Concentrazione Molecola Temperatura Conservazione Durata della stabilità Bibliografia
Vetro Acqua per preparato iniettabile 1 mg/ml
Iniezione   Cyclophosphamide   
Iniezione   Granisetron hydrochloride 0,5 mg/ml
20°C-23°C
4 Ora
Luce 57
Livello di evidenza A+
Vetro Glucosio 5% 10 mg/ml
Iniezione   Cyclophosphamide   
Iniezione   Palonosetron hydrochloride 50 µg/ml
25°C
4 Ora
Luce 2016
Livello di evidenza A+
Cloruro di polivinile Cloruro di sodio 0,9% 1 mg/ml
Iniezione   Cyclophosphamide   
Iniezione   Mesna 0,2 & 1 mg/ml
20°C
24 Ora
Luce 2104
Livello di evidenza D
Cloruro di polivinile Cloruro di sodio 0,9% 5 mg/ml
Iniezione   Cyclophosphamide   
Iniezione   Mesna 1 mg/ml
20°C
24 Ora
Luce 2104
Livello di evidenza D
Cloruro di polivinile Cloruro di sodio 0,9% 10 mg/ml
Iniezione   Cyclophosphamide   
Iniezione   Mesna 2 & 10 mg/ml
20°C
24 Ora
Luce 2104
Livello di evidenza D
Cloruro di polivinile Cloruro di sodio 0,9% 0,3 mg/ml
Iniezione   Cyclophosphamide   
Iniezione   Ondansetron hydrochloride 0,05 mg/ml
23°C-25°C
4 Giorno
Luce 50
Livello di evidenza B
Cloruro di polivinile Cloruro di sodio 0,9% 2 mg/ml
Iniezione   Cyclophosphamide   
Iniezione   Ondansetron hydrochloride 0,4 mg/ml
23°C-25°C
4 Giorno
Luce 50
Livello di evidenza B
Cloruro di polivinile Cloruro di sodio 0,9% 0,3 mg/ml
Iniezione   Cyclophosphamide   
Iniezione   Ondansetron hydrochloride 0,05 mg/ml
4°C
8 Giorno
Luce 50
Livello di evidenza B
Cloruro di polivinile Cloruro di sodio 0,9% 2 mg/ml
Iniezione   Cyclophosphamide   
Iniezione   Ondansetron hydrochloride 0,4 mg/ml
4°C
8 Giorno
Luce 50
Livello di evidenza B
Cloruro di polivinile Glucosio 5% 0,3 mg/ml
Iniezione   Cyclophosphamide   
Iniezione   Ondansetron hydrochloride 0,05 mg/ml
23°C-25°C
4 Giorno
Luce 50
Livello di evidenza B
Cloruro di polivinile Glucosio 5% 2 mg/ml
Iniezione   Cyclophosphamide   
Iniezione   Ondansetron hydrochloride 0,4 mg/ml
23°C-25°C
4 Giorno
Luce 50
Livello di evidenza B
Cloruro di polivinile Glucosio 5% 0,3 mg/ml
Iniezione   Cyclophosphamide   
Iniezione   Ondansetron hydrochloride 0,05 mg/ml
4°C
8 Giorno
Luce 50
Livello di evidenza B
Cloruro di polivinile Glucosio 5% 2 mg/ml
Iniezione   Cyclophosphamide   
Iniezione   Ondansetron hydrochloride 0,4 mg/ml
4°C
8 Giorno
Luce 50
Livello di evidenza B
Polietilene Glucosio 5% 1,8 mg/ml
Iniezione   Cyclophosphamide   
Iniezione   Mesna 0,54 mg/ml
22°C
6 Ora
Luce 1833
Livello di evidenza D
Polietilene Glucosio 5% 10,8 mg/ml
Iniezione   Cyclophosphamide   
Iniezione   Mesna 3,2 mg/ml
22°C
24 Ora
Luce 1833
Livello di evidenza D
Polietilene Glucosio 5% 10,8 mg/ml
Iniezione   Cyclophosphamide   
Iniezione   Mesna 3,2 mg/ml
4°C
48 Ora
Non precisata 1833
Livello di evidenza D
Polietilene Glucosio 5% 1,8 mg/ml
Iniezione   Cyclophosphamide   
Iniezione   Mesna 0,54 mg/ml
4°C
48 Ora
Non precisata 1833
Livello di evidenza D
Non precisato Cloruro di sodio 0,9% 10 mg/ml
Iniezione   Cyclophosphamide   
Iniezione   Topotecan 0,028 mg/ml
20°C-23°C
4 Ora
Luce 1026
Livello di evidenza C
Non precisato Glucosio 5% 10 mg/ml
Iniezione   Cyclophosphamide   
Iniezione   Topotecan 0,028 mg/ml
20°C-23°C
4 Ora
Luce 1026
Livello di evidenza C

  Mentions Légales