Ultimele actualizari :
27/04/2026
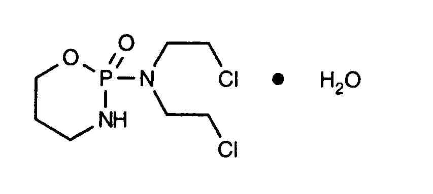
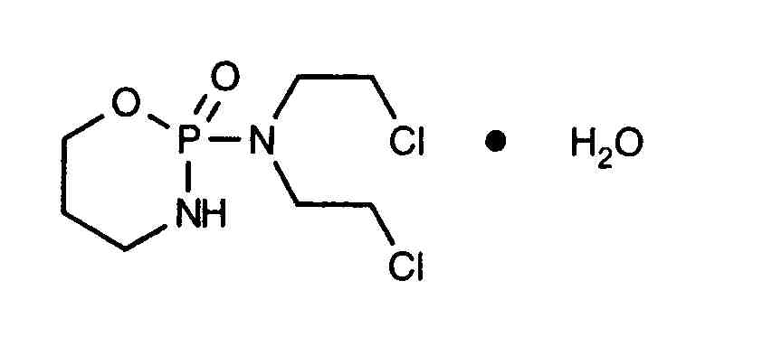
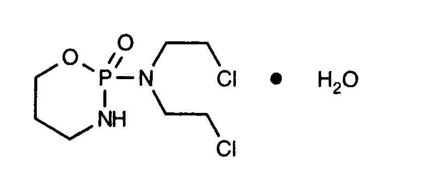
Citostatic   Cyclophosphamide  
Injectabil
Capsulă Soluţie orală
Stabilitatea in solutie Stabilitatea in amestec Factorii care influenteaza stabilitatea Compatibilitate Microunde Bibliografie pdf
   Formula chimica  

Denumirea comerciala   Denumirea comerciala     

Trade names are indicative and excipients composition can be different depending on the country and manufacturers

Alkyloxan Egipt, Malaezia
Celomide India
Ciclofosfamida Argentina, Chilli, Romania
Cicloxal Spania
Cryofaxol Mexic
Cycloblastin Australia
Cycloblastine Olanda
Cyclophosphamid Danemarca, Germania
Cyclophosphamide Arabia Saudita, Marea Britanie, noua Zeelandă, SUA
Cyclostin Germania
Cycloxan Malaezia
Cycram Egipt
Cytoxan Canada, SUA, Ungaria
Eldamide India
Endoxan Arabia Saudita, Australia, Austria, Belgia, Chilli, Columbia, Croatia, Ecuador, Elvetia, Emiratele Arabe Unite, Franta, Germania, Grecia, India, Iran, Italia, Luxemburg, Maroc, noua Zeelandă, Olanda, Polonia, Portugalia, Slovenia, Tailanda, Tunisia, Turcia, Ungaria, Venezuela
Endoxana Irlanda, Marea Britanie
Formitex Columbia, Mexic
Genoxal Spania
Genuxal Brazilia
Hidrofosmin Mexic
Ledoxan Columbia
Ledoxina Columbia, Mexic
Neophos Egipt
Neosar SUA
Procytox Canada
Sendoxan Danemarca, Finlanda, Islanda, Norvegia, Suedia
Syklofosfamid Finlanda, Turcia
Stabilitatea in amestec   Injectabil   Stabilitatea in amestec : Cyclophosphamide     
Continut Solvent Concentratie Molecula (substanta activa) Temperatura Conservare Durata stabilității Bibiografie
sticla apa pentru preparate injectabile 1 mg/ml
Injectabil   Cyclophosphamide   
Injectabil   Granisetron hydrochloride 0,5 mg/ml
20°C-23°C
4 Ora
Lumina 57
Nivel de evidență A+
sticla Glucoza 5% 10 mg/ml
Injectabil   Cyclophosphamide   
Injectabil   Palonosetron hydrochloride 50 µg/ml
25°C
4 Ora
Lumina 2016
Nivel de evidență A+
clorura de polivinil clorura de sodiu 0,9% 1 mg/ml
Injectabil   Cyclophosphamide   
Injectabil   Mesna 0,2 & 1 mg/ml
20°C
24 Ora
Lumina 2104
Nivel de evidență D
clorura de polivinil clorura de sodiu 0,9% 5 mg/ml
Injectabil   Cyclophosphamide   
Injectabil   Mesna 1 mg/ml
20°C
24 Ora
Lumina 2104
Nivel de evidență D
clorura de polivinil clorura de sodiu 0,9% 10 mg/ml
Injectabil   Cyclophosphamide   
Injectabil   Mesna 2 & 10 mg/ml
20°C
24 Ora
Lumina 2104
Nivel de evidență D
clorura de polivinil clorura de sodiu 0,9% 0,3 mg/ml
Injectabil   Cyclophosphamide   
Injectabil   Ondansetron hydrochloride 0,05 mg/ml
23°C-25°C
4 Ziua
Lumina 50
Nivel de evidență B
clorura de polivinil clorura de sodiu 0,9% 2 mg/ml
Injectabil   Cyclophosphamide   
Injectabil   Ondansetron hydrochloride 0,4 mg/ml
23°C-25°C
4 Ziua
Lumina 50
Nivel de evidență B
clorura de polivinil clorura de sodiu 0,9% 0,3 mg/ml
Injectabil   Cyclophosphamide   
Injectabil   Ondansetron hydrochloride 0,05 mg/ml
4°C
8 Ziua
Lumina 50
Nivel de evidență B
clorura de polivinil clorura de sodiu 0,9% 2 mg/ml
Injectabil   Cyclophosphamide   
Injectabil   Ondansetron hydrochloride 0,4 mg/ml
4°C
8 Ziua
Lumina 50
Nivel de evidență B
clorura de polivinil Glucoza 5% 0,3 mg/ml
Injectabil   Cyclophosphamide   
Injectabil   Ondansetron hydrochloride 0,05 mg/ml
23°C-25°C
4 Ziua
Lumina 50
Nivel de evidență B
clorura de polivinil Glucoza 5% 2 mg/ml
Injectabil   Cyclophosphamide   
Injectabil   Ondansetron hydrochloride 0,4 mg/ml
23°C-25°C
4 Ziua
Lumina 50
Nivel de evidență B
clorura de polivinil Glucoza 5% 0,3 mg/ml
Injectabil   Cyclophosphamide   
Injectabil   Ondansetron hydrochloride 0,05 mg/ml
4°C
8 Ziua
Lumina 50
Nivel de evidență B
clorura de polivinil Glucoza 5% 2 mg/ml
Injectabil   Cyclophosphamide   
Injectabil   Ondansetron hydrochloride 0,4 mg/ml
4°C
8 Ziua
Lumina 50
Nivel de evidență B
polietilen Glucoza 5% 1,8 mg/ml
Injectabil   Cyclophosphamide   
Injectabil   Mesna 0,54 mg/ml
22°C
6 Ora
Lumina 1833
Nivel de evidență D
polietilen Glucoza 5% 10,8 mg/ml
Injectabil   Cyclophosphamide   
Injectabil   Mesna 3,2 mg/ml
22°C
24 Ora
Lumina 1833
Nivel de evidență D
polietilen Glucoza 5% 10,8 mg/ml
Injectabil   Cyclophosphamide   
Injectabil   Mesna 3,2 mg/ml
4°C
48 Ora
Neprecizat 1833
Nivel de evidență D
polietilen Glucoza 5% 1,8 mg/ml
Injectabil   Cyclophosphamide   
Injectabil   Mesna 0,54 mg/ml
4°C
48 Ora
Neprecizat 1833
Nivel de evidență D
neprecizat clorura de sodiu 0,9% 10 mg/ml
Injectabil   Cyclophosphamide   
Injectabil   Topotecan 0,028 mg/ml
20°C-23°C
4 Ora
Lumina 1026
Nivel de evidență C
neprecizat Glucoza 5% 10 mg/ml
Injectabil   Cyclophosphamide   
Injectabil   Topotecan 0,028 mg/ml
20°C-23°C
4 Ora
Lumina 1026
Nivel de evidență C

  Mentions Légales