Poslední aktualizace :
27/04/2026
rakovina drog   Cyclophosphamide  
injekce
kapsle Perorální roztok
Stabilita roztoků Stabilita směsí Faktory ovlivňující stabilitu Kompatibilita Způsoby aplikace Odkazy pdf
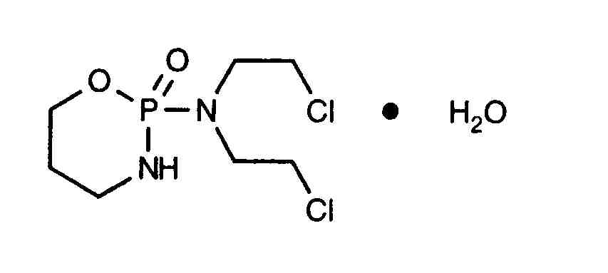
   Chemický vzorec  

Obchodní název   Obchodní název     

Trade names are indicative and excipients composition can be different depending on the country and manufacturers

Alkyloxan Egypt, Malajsie
Celomide Indie
Ciclofosfamida Argentina, Chile, Rumunsko
Cicloxal äpanÏlsko
Cryofaxol Mexiko
Cycloblastin Austrálie
Cycloblastine Nizozemsko
Cyclophosphamid Dánsko, NÏmecko
Cyclophosphamide nový Zéland, Saúdská Arábie, USA, Velká Británie
Cyclostin NÏmecko
Cycloxan Malajsie
Cycram Egypt
Cytoxan Kanada, MaÔarsko, USA
Eldamide Indie
Endoxan Austrálie, Belgie, Chile, Chorvatsko, Ekvádor, Francie, Indie, Írán, Itálie, Kolumbie, Lucembursko, MaÔarsko, Maroko, NÏmecko, Nizozemsko, nový Zéland, Polsko, Portugalsko, Rakousko, Saúdská Arábie, Slovinsko, Spojené arabské emiráty, Švýcarsko, Thajsko, Tunisko, Turecko, Venezuela, ÿecko
Endoxana Irsko, Velká Británie
Formitex Kolumbie, Mexiko
Genoxal äpanÏlsko
Genuxal BrazÌlie
Hidrofosmin Mexiko
Ledoxan Kolumbie
Ledoxina Kolumbie, Mexiko
Neophos Egypt
Neosar USA
Procytox Kanada
Sendoxan Dánsko, Finsko, Island, Norsko, Švédsko
Syklofosfamid Finsko, Turecko
Stabilita směsí   injekce   Stabilita směsí : Cyclophosphamide     
Obal RozpouötÏdlo Koncentrace SlouËenina Teplota Uchovávání Trvání stability Odkazy
Sklo Voda pro injekci 1 mg/ml
injekce   Cyclophosphamide   
injekce   Granisetron hydrochloride 0,5 mg/ml
20°C-23°C
4 Hodina
SvÏtlo 57
Úroveň zkoušky A+
Sklo GlukÛza 5% 10 mg/ml
injekce   Cyclophosphamide   
injekce   Palonosetron hydrochloride 50 µg/ml
25°C
4 Hodina
SvÏtlo 2016
Úroveň zkoušky A+
Polyvinyl chlorid Chlorid sodný 0,9% 1 mg/ml
injekce   Cyclophosphamide   
injekce   Mesna 0,2 & 1 mg/ml
20°C
24 Hodina
SvÏtlo 2104
Úroveň zkoušky D
Polyvinyl chlorid Chlorid sodný 0,9% 5 mg/ml
injekce   Cyclophosphamide   
injekce   Mesna 1 mg/ml
20°C
24 Hodina
SvÏtlo 2104
Úroveň zkoušky D
Polyvinyl chlorid Chlorid sodný 0,9% 10 mg/ml
injekce   Cyclophosphamide   
injekce   Mesna 2 & 10 mg/ml
20°C
24 Hodina
SvÏtlo 2104
Úroveň zkoušky D
Polyvinyl chlorid Chlorid sodný 0,9% 0,3 mg/ml
injekce   Cyclophosphamide   
injekce   Ondansetron hydrochloride 0,05 mg/ml
23°C-25°C
4 Den
SvÏtlo 50
Úroveň zkoušky B
Polyvinyl chlorid Chlorid sodný 0,9% 2 mg/ml
injekce   Cyclophosphamide   
injekce   Ondansetron hydrochloride 0,4 mg/ml
23°C-25°C
4 Den
SvÏtlo 50
Úroveň zkoušky B
Polyvinyl chlorid Chlorid sodný 0,9% 0,3 mg/ml
injekce   Cyclophosphamide   
injekce   Ondansetron hydrochloride 0,05 mg/ml
4°C
8 Den
SvÏtlo 50
Úroveň zkoušky B
Polyvinyl chlorid Chlorid sodný 0,9% 2 mg/ml
injekce   Cyclophosphamide   
injekce   Ondansetron hydrochloride 0,4 mg/ml
4°C
8 Den
SvÏtlo 50
Úroveň zkoušky B
Polyvinyl chlorid GlukÛza 5% 0,3 mg/ml
injekce   Cyclophosphamide   
injekce   Ondansetron hydrochloride 0,05 mg/ml
23°C-25°C
4 Den
SvÏtlo 50
Úroveň zkoušky B
Polyvinyl chlorid GlukÛza 5% 2 mg/ml
injekce   Cyclophosphamide   
injekce   Ondansetron hydrochloride 0,4 mg/ml
23°C-25°C
4 Den
SvÏtlo 50
Úroveň zkoušky B
Polyvinyl chlorid GlukÛza 5% 0,3 mg/ml
injekce   Cyclophosphamide   
injekce   Ondansetron hydrochloride 0,05 mg/ml
4°C
8 Den
SvÏtlo 50
Úroveň zkoušky B
Polyvinyl chlorid GlukÛza 5% 2 mg/ml
injekce   Cyclophosphamide   
injekce   Ondansetron hydrochloride 0,4 mg/ml
4°C
8 Den
SvÏtlo 50
Úroveň zkoušky B
Polyethylen GlukÛza 5% 1,8 mg/ml
injekce   Cyclophosphamide   
injekce   Mesna 0,54 mg/ml
22°C
6 Hodina
SvÏtlo 1833
Úroveň zkoušky D
Polyethylen GlukÛza 5% 10,8 mg/ml
injekce   Cyclophosphamide   
injekce   Mesna 3,2 mg/ml
22°C
24 Hodina
SvÏtlo 1833
Úroveň zkoušky D
Polyethylen GlukÛza 5% 10,8 mg/ml
injekce   Cyclophosphamide   
injekce   Mesna 3,2 mg/ml
4°C
48 Hodina
Nespecifikováno 1833
Úroveň zkoušky D
Polyethylen GlukÛza 5% 1,8 mg/ml
injekce   Cyclophosphamide   
injekce   Mesna 0,54 mg/ml
4°C
48 Hodina
Nespecifikováno 1833
Úroveň zkoušky D
Nespecifikováno Chlorid sodný 0,9% 10 mg/ml
injekce   Cyclophosphamide   
injekce   Topotecan 0,028 mg/ml
20°C-23°C
4 Hodina
SvÏtlo 1026
Úroveň zkoušky C
Nespecifikováno GlukÛza 5% 10 mg/ml
injekce   Cyclophosphamide   
injekce   Topotecan 0,028 mg/ml
20°C-23°C
4 Hodina
SvÏtlo 1026
Úroveň zkoušky C

  Mentions Légales