Siste oppdatering :
27/04/2026
kreft narkotika   Cyclophosphamide  
Injeksjon
Kapsel Mikstur
Oppløsningsstabilitet Stabilitet i blandinger Faktorer som påvirker stabiliteten Kompatibilitet Administrasjonsmåte Referanser pdf
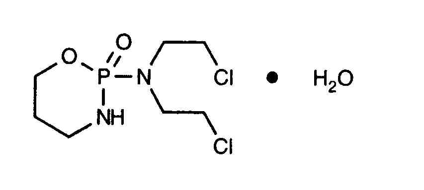
   Kjemisk struktur  

Handelsnavn   Handelsnavn     

Handelsnavn er veiledende og sammensetning av hjelpestoffer kan være forskjellig avhengig av land og produsent

Alkyloxan Egypt, Malaysia
Celomide India
Ciclofosfamida Argentina, Chile, Romania
Cicloxal Spania
Cryofaxol Mexico
Cycloblastin Australia
Cycloblastine Nederland
Cyclophosphamid Danmark, Tyskland
Cyclophosphamide New Zealand, Saudi-Arabia, Storbritannia, USA
Cyclostin Tyskland
Cycloxan Malaysia
Cycram Egypt
Cytoxan Canada, Ungarn, USA
Eldamide India
Endoxan Australia, Belgia, Chile, Colombia, De forente arabiske emirater, Ecuador, Frankrike, Hellas, India, Iran, Italia, Kroatia, Luxembourg, Marokko, Nederland, New Zealand, Polen, Portugal, Saudi-Arabia, Slovenia, Sveits, Thailand, Tunisia, Tyrkia, Tyskland, Ungarn, Venezuela, Østerrike
Endoxana Irland, Storbritannia
Formitex Colombia, Mexico
Genoxal Spania
Genuxal Brasil
Hidrofosmin Mexico
Ledoxan Colombia
Ledoxina Colombia, Mexico
Neophos Egypt
Neosar USA
Procytox Canada
Sendoxan Danmark, Finland, Island, Norge, Sverige
Syklofosfamid Finland, Tyrkia
Stabilitet i blandinger   Injeksjon   Stabilitet i blandinger : Cyclophosphamide     
Beholder Oppløsningsmiddel Konsentrasjon Legemiddel Temperatur Oppbevaring Varighet av stabilitet Referanser
Glass Vann til injeksjon 1 mg/ml
Injeksjon   Cyclophosphamide   
Injeksjon   Granisetron hydrochloride 0,5 mg/ml
20°C-23°C
4 Tid
Lys 57
Bevisgrad A +
Glass Glukose 5 % 10 mg/ml
Injeksjon   Cyclophosphamide   
Injeksjon   Palonosetron hydrochloride 50 µg/ml
25°C
4 Tid
Lys 2016
Bevisgrad A +
Polyvinylklorid Natriumklorid 0,9 % 1 mg/ml
Injeksjon   Cyclophosphamide   
Injeksjon   Mesna 0,2 & 1 mg/ml
20°C
24 Tid
Lys 2104
Bevisgrad D
Polyvinylklorid Natriumklorid 0,9 % 5 mg/ml
Injeksjon   Cyclophosphamide   
Injeksjon   Mesna 1 mg/ml
20°C
24 Tid
Lys 2104
Bevisgrad D
Polyvinylklorid Natriumklorid 0,9 % 10 mg/ml
Injeksjon   Cyclophosphamide   
Injeksjon   Mesna 2 & 10 mg/ml
20°C
24 Tid
Lys 2104
Bevisgrad D
Polyvinylklorid Natriumklorid 0,9 % 0,3 mg/ml
Injeksjon   Cyclophosphamide   
Injeksjon   Ondansetron hydrochloride 0,05 mg/ml
23°C-25°C
4 Dag
Lys 50
Bevisgrad B
Polyvinylklorid Natriumklorid 0,9 % 2 mg/ml
Injeksjon   Cyclophosphamide   
Injeksjon   Ondansetron hydrochloride 0,4 mg/ml
23°C-25°C
4 Dag
Lys 50
Bevisgrad B
Polyvinylklorid Natriumklorid 0,9 % 0,3 mg/ml
Injeksjon   Cyclophosphamide   
Injeksjon   Ondansetron hydrochloride 0,05 mg/ml
4°C
8 Dag
Lys 50
Bevisgrad B
Polyvinylklorid Natriumklorid 0,9 % 2 mg/ml
Injeksjon   Cyclophosphamide   
Injeksjon   Ondansetron hydrochloride 0,4 mg/ml
4°C
8 Dag
Lys 50
Bevisgrad B
Polyvinylklorid Glukose 5 % 0,3 mg/ml
Injeksjon   Cyclophosphamide   
Injeksjon   Ondansetron hydrochloride 0,05 mg/ml
23°C-25°C
4 Dag
Lys 50
Bevisgrad B
Polyvinylklorid Glukose 5 % 2 mg/ml
Injeksjon   Cyclophosphamide   
Injeksjon   Ondansetron hydrochloride 0,4 mg/ml
23°C-25°C
4 Dag
Lys 50
Bevisgrad B
Polyvinylklorid Glukose 5 % 0,3 mg/ml
Injeksjon   Cyclophosphamide   
Injeksjon   Ondansetron hydrochloride 0,05 mg/ml
4°C
8 Dag
Lys 50
Bevisgrad B
Polyvinylklorid Glukose 5 % 2 mg/ml
Injeksjon   Cyclophosphamide   
Injeksjon   Ondansetron hydrochloride 0,4 mg/ml
4°C
8 Dag
Lys 50
Bevisgrad B
Polyetylen Glukose 5 % 1,8 mg/ml
Injeksjon   Cyclophosphamide   
Injeksjon   Mesna 0,54 mg/ml
22°C
6 Tid
Lys 1833
Bevisgrad D
Polyetylen Glukose 5 % 10,8 mg/ml
Injeksjon   Cyclophosphamide   
Injeksjon   Mesna 3,2 mg/ml
22°C
24 Tid
Lys 1833
Bevisgrad D
Polyetylen Glukose 5 % 10,8 mg/ml
Injeksjon   Cyclophosphamide   
Injeksjon   Mesna 3,2 mg/ml
4°C
48 Tid
Ikke angitt 1833
Bevisgrad D
Polyetylen Glukose 5 % 1,8 mg/ml
Injeksjon   Cyclophosphamide   
Injeksjon   Mesna 0,54 mg/ml
4°C
48 Tid
Ikke angitt 1833
Bevisgrad D
Ikke angitt Natriumklorid 0,9 % 10 mg/ml
Injeksjon   Cyclophosphamide   
Injeksjon   Topotecan 0,028 mg/ml
20°C-23°C
4 Tid
Lys 1026
Bevisgrad C
Ikke angitt Glukose 5 % 10 mg/ml
Injeksjon   Cyclophosphamide   
Injeksjon   Topotecan 0,028 mg/ml
20°C-23°C
4 Tid
Lys 1026
Bevisgrad C

  Mentions Légales