Seneste opdatering :
27/04/2026
anticancer medicin   Cyclophosphamide  
Injektion
Kapsel Oral opløsning
Stabilitet i (vandige) opløsninger Stabilitet i blandinger Faktorer der påvirker stabiliteten Kompatibilitet Administrationsvej Bibliografi pdf
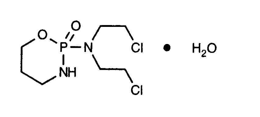
   Kemisk struktur  

Handelsnavn   Handelsnavn     

Handel navne er vejledende og hjælpestoffer sammensætning kan være forskellig afhængigt af landet og laboratorier

Alkyloxan Malaysia, Ægypten
Celomide Indien
Ciclofosfamida Argentina, Chile, Rumænien
Cicloxal Spanien
Cryofaxol Mexico
Cycloblastin Australien
Cycloblastine Holland
Cyclophosphamid Danmark, Tyskland
Cyclophosphamide New Zealand, Saudi-Arabien, Storbritanien, USA
Cyclostin Tyskland
Cycloxan Malaysia
Cycram Ægypten
Cytoxan Canada, Ungarn, USA
Eldamide Indien
Endoxan Australien, Belgien, Chile, Colombia, Ecuador, Forenede Arabiske Emirater, Frankrig, Grækenland, Holland, Indien, Iran, Italien, Kroatien, Luxemborg, Marokko, New Zealand, Polen, Portugal, Saudi-Arabien, Schweiz, Slovenien, Thailand, Tunesien, Tyrkiet, Tyskland, Ungarn, Venezuela, Østrig
Endoxana Irland, Storbritanien
Formitex Colombia, Mexico
Genoxal Spanien
Genuxal Brasilien
Hidrofosmin Mexico
Ledoxan Colombia
Ledoxina Colombia, Mexico
Neophos Ægypten
Neosar USA
Procytox Canada
Sendoxan Danmark, Finland, Island, Norge, Sverige
Syklofosfamid Finland, Tyrkiet
Stabilitet i blandinger   Injektion   Stabilitet i blandinger : Cyclophosphamide     
Beholder Opløsningsmiddel Koncentration Molekyle Temperatur Konservering Varighed af stabilitet Bibliografi
Glas Vand til injektion 1 mg/ml
Injektion   Cyclophosphamide   
Injektion   Granisetron hydrochloride 0,5 mg/ml
20°C-23°C
4 Time
Lys 57
Level af bevismateriale A+
Glas 5 % Glukose 10 mg/ml
Injektion   Cyclophosphamide   
Injektion   Palonosetron hydrochloride 50 µg/ml
25°C
4 Time
Lys 2016
Level af bevismateriale A+
Polyvinylklorid 0,9 % Natriumklorid 1 mg/ml
Injektion   Cyclophosphamide   
Injektion   Mesna 0,2 & 1 mg/ml
20°C
24 Time
Lys 2104
Level af bevismateriale D
Polyvinylklorid 0,9 % Natriumklorid 5 mg/ml
Injektion   Cyclophosphamide   
Injektion   Mesna 1 mg/ml
20°C
24 Time
Lys 2104
Level af bevismateriale D
Polyvinylklorid 0,9 % Natriumklorid 10 mg/ml
Injektion   Cyclophosphamide   
Injektion   Mesna 2 & 10 mg/ml
20°C
24 Time
Lys 2104
Level af bevismateriale D
Polyvinylklorid 0,9 % Natriumklorid 0,3 mg/ml
Injektion   Cyclophosphamide   
Injektion   Ondansetron hydrochloride 0,05 mg/ml
23°C-25°C
4 Dag
Lys 50
Level af bevismateriale B
Polyvinylklorid 0,9 % Natriumklorid 2 mg/ml
Injektion   Cyclophosphamide   
Injektion   Ondansetron hydrochloride 0,4 mg/ml
23°C-25°C
4 Dag
Lys 50
Level af bevismateriale B
Polyvinylklorid 0,9 % Natriumklorid 0,3 mg/ml
Injektion   Cyclophosphamide   
Injektion   Ondansetron hydrochloride 0,05 mg/ml
4°C
8 Dag
Lys 50
Level af bevismateriale B
Polyvinylklorid 0,9 % Natriumklorid 2 mg/ml
Injektion   Cyclophosphamide   
Injektion   Ondansetron hydrochloride 0,4 mg/ml
4°C
8 Dag
Lys 50
Level af bevismateriale B
Polyvinylklorid 5 % Glukose 0,3 mg/ml
Injektion   Cyclophosphamide   
Injektion   Ondansetron hydrochloride 0,05 mg/ml
23°C-25°C
4 Dag
Lys 50
Level af bevismateriale B
Polyvinylklorid 5 % Glukose 2 mg/ml
Injektion   Cyclophosphamide   
Injektion   Ondansetron hydrochloride 0,4 mg/ml
23°C-25°C
4 Dag
Lys 50
Level af bevismateriale B
Polyvinylklorid 5 % Glukose 0,3 mg/ml
Injektion   Cyclophosphamide   
Injektion   Ondansetron hydrochloride 0,05 mg/ml
4°C
8 Dag
Lys 50
Level af bevismateriale B
Polyvinylklorid 5 % Glukose 2 mg/ml
Injektion   Cyclophosphamide   
Injektion   Ondansetron hydrochloride 0,4 mg/ml
4°C
8 Dag
Lys 50
Level af bevismateriale B
Polyethylen 5 % Glukose 1,8 mg/ml
Injektion   Cyclophosphamide   
Injektion   Mesna 0,54 mg/ml
22°C
6 Time
Lys 1833
Level af bevismateriale D
Polyethylen 5 % Glukose 10,8 mg/ml
Injektion   Cyclophosphamide   
Injektion   Mesna 3,2 mg/ml
22°C
24 Time
Lys 1833
Level af bevismateriale D
Polyethylen 5 % Glukose 10,8 mg/ml
Injektion   Cyclophosphamide   
Injektion   Mesna 3,2 mg/ml
4°C
48 Time
Ikke nærmere angivet 1833
Level af bevismateriale D
Polyethylen 5 % Glukose 1,8 mg/ml
Injektion   Cyclophosphamide   
Injektion   Mesna 0,54 mg/ml
4°C
48 Time
Ikke nærmere angivet 1833
Level af bevismateriale D
Ikke angivet nærmere 0,9 % Natriumklorid 10 mg/ml
Injektion   Cyclophosphamide   
Injektion   Topotecan 0,028 mg/ml
20°C-23°C
4 Time
Lys 1026
Level af bevismateriale C
Ikke angivet nærmere 5 % Glukose 10 mg/ml
Injektion   Cyclophosphamide   
Injektion   Topotecan 0,028 mg/ml
20°C-23°C
4 Time
Lys 1026
Level af bevismateriale C

  Mentions Légales