Última actualización :
27/04/2026
fármacos contra el cáncer   Cyclophosphamide  
Inyectables
Cápsula Solución Oral
Estabilidad en solucion Estabilidad en mezcla Factores que influyen sobre la estabilidad Compatibilidades método de inyección Bibliografía pdf
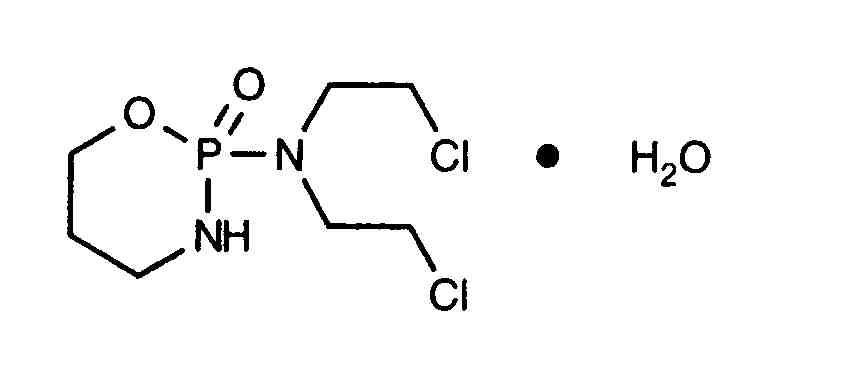
   Estructura química  

Nombre comercial   Nombre comercial     

Los nombres comerciales son orientativos y los excipientes de la formulación pueden ser distintos dependiendo del país y del laboratorio fabricante.

Alkyloxan Egipto, Malasia
Celomide India
Ciclofosfamida Argentina, Chile, Rumania
Cicloxal España
Cryofaxol México
Cycloblastin Australia
Cycloblastine Países Bajos
Cyclophosphamid Alemania, Dinamarca
Cyclophosphamide Arabia Saudita, Estados Unidos de América, Gran Bretaña, Nueva Zelanda
Cyclostin Alemania
Cycloxan Malasia
Cycram Egipto
Cytoxan Canadá, Estados Unidos de América, Hungría
Eldamide India
Endoxan Alemania, Arabia Saudita, Australia, Austria, Bélgica, Chile, Colombia, Croacia, Ecuador, Emiratos Árabes Unidos, Eslovenia, Francia, Grecia, Hungría, India, Irán, Italia, Luxemburgo, Marruecos, Nueva Zelanda, Países Bajos, Polonia, Portugal, Suiza, Tailandia, Túnez, Turquía, Venezuela
Endoxana Gran Bretaña, Irlanda
Formitex Colombia, México
Genoxal España
Genuxal Brasil
Hidrofosmin México
Ledoxan Colombia
Ledoxina Colombia, México
Neophos Egipto
Neosar Estados Unidos de América
Procytox Canadá
Sendoxan Dinamarca, Finlandia, Islandia, Noruega, Suecia
Syklofosfamid Finlandia, Turquía
Estabilidad en mezcla   Inyectables   Estabilidad en mezcla : Cyclophosphamide     
Envase Solvente Concentración Molécula Temperatura Conservación Duración de la estabilidad Bibliografía
Vidrio Agua para preparación inyectable 1 mg/ml
Inyectables   Cyclophosphamide   
Inyectables   Granisetron hydrochloride 0,5 mg/ml
20°C-23°C
4 Hora
Luz 57
Nivel de evidencia A+
Vidrio Glucosa 5% 10 mg/ml
Inyectables   Cyclophosphamide   
Inyectables   Palonosetron hydrochloride 50 µg/ml
25°C
4 Hora
Luz 2016
Nivel de evidencia A+
Cloruro de polivinilo Cloruro de sodio 0,9% 1 mg/ml
Inyectables   Cyclophosphamide   
Inyectables   Mesna 0,2 & 1 mg/ml
20°C
24 Hora
Luz 2104
Nivel de evidencia D
Cloruro de polivinilo Cloruro de sodio 0,9% 5 mg/ml
Inyectables   Cyclophosphamide   
Inyectables   Mesna 1 mg/ml
20°C
24 Hora
Luz 2104
Nivel de evidencia D
Cloruro de polivinilo Cloruro de sodio 0,9% 10 mg/ml
Inyectables   Cyclophosphamide   
Inyectables   Mesna 2 & 10 mg/ml
20°C
24 Hora
Luz 2104
Nivel de evidencia D
Cloruro de polivinilo Cloruro de sodio 0,9% 0,3 mg/ml
Inyectables   Cyclophosphamide   
Inyectables   Ondansetron hydrochloride 0,05 mg/ml
23°C-25°C
4 Día
Luz 50
Nivel de evidencia B
Cloruro de polivinilo Cloruro de sodio 0,9% 2 mg/ml
Inyectables   Cyclophosphamide   
Inyectables   Ondansetron hydrochloride 0,4 mg/ml
23°C-25°C
4 Día
Luz 50
Nivel de evidencia B
Cloruro de polivinilo Cloruro de sodio 0,9% 0,3 mg/ml
Inyectables   Cyclophosphamide   
Inyectables   Ondansetron hydrochloride 0,05 mg/ml
4°C
8 Día
Luz 50
Nivel de evidencia B
Cloruro de polivinilo Cloruro de sodio 0,9% 2 mg/ml
Inyectables   Cyclophosphamide   
Inyectables   Ondansetron hydrochloride 0,4 mg/ml
4°C
8 Día
Luz 50
Nivel de evidencia B
Cloruro de polivinilo Glucosa 5% 0,3 mg/ml
Inyectables   Cyclophosphamide   
Inyectables   Ondansetron hydrochloride 0,05 mg/ml
23°C-25°C
4 Día
Luz 50
Nivel de evidencia B
Cloruro de polivinilo Glucosa 5% 2 mg/ml
Inyectables   Cyclophosphamide   
Inyectables   Ondansetron hydrochloride 0,4 mg/ml
23°C-25°C
4 Día
Luz 50
Nivel de evidencia B
Cloruro de polivinilo Glucosa 5% 0,3 mg/ml
Inyectables   Cyclophosphamide   
Inyectables   Ondansetron hydrochloride 0,05 mg/ml
4°C
8 Día
Luz 50
Nivel de evidencia B
Cloruro de polivinilo Glucosa 5% 2 mg/ml
Inyectables   Cyclophosphamide   
Inyectables   Ondansetron hydrochloride 0,4 mg/ml
4°C
8 Día
Luz 50
Nivel de evidencia B
Polietileno Glucosa 5% 1,8 mg/ml
Inyectables   Cyclophosphamide   
Inyectables   Mesna 0,54 mg/ml
22°C
6 Hora
Luz 1833
Nivel de evidencia D
Polietileno Glucosa 5% 10,8 mg/ml
Inyectables   Cyclophosphamide   
Inyectables   Mesna 3,2 mg/ml
22°C
24 Hora
Luz 1833
Nivel de evidencia D
Polietileno Glucosa 5% 10,8 mg/ml
Inyectables   Cyclophosphamide   
Inyectables   Mesna 3,2 mg/ml
4°C
48 Hora
No precisada 1833
Nivel de evidencia D
Polietileno Glucosa 5% 1,8 mg/ml
Inyectables   Cyclophosphamide   
Inyectables   Mesna 0,54 mg/ml
4°C
48 Hora
No precisada 1833
Nivel de evidencia D
No precisado Cloruro de sodio 0,9% 10 mg/ml
Inyectables   Cyclophosphamide   
Inyectables   Topotecan 0,028 mg/ml
20°C-23°C
4 Hora
Luz 1026
Nivel de evidencia C
No precisado Glucosa 5% 10 mg/ml
Inyectables   Cyclophosphamide   
Inyectables   Topotecan 0,028 mg/ml
20°C-23°C
4 Hora
Luz 1026
Nivel de evidencia C

  Mentions Légales