Останнє оновлення :
27/04/2026
Протипухлинний препарат   Cyclophosphamide  
ін'єкція
капсула Розчин для перорального застосування
Стійкість в розчинах Стійкість сумішей Фактори, що впливають на стабільність Сумісність Шлях введення Список літератури pdf
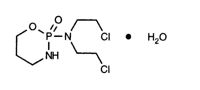
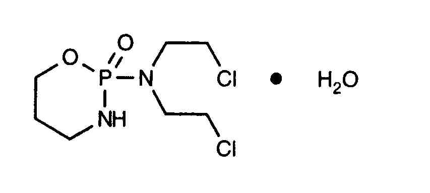
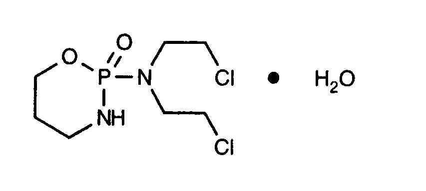
   Хімічна структура  

Торгова назва   Торгова назва     

Торгові назви є орієнтовними, а склад допоміжних речовин може бути різним залежно від країни та виробника

Alkyloxan Єгипет, Малайзія
Celomide Індія
Ciclofosfamida Аргентина, Румунія, Чилі
Cicloxal Іспанія
Cryofaxol Мексика
Cycloblastin Австралія
Cycloblastine Нідерланди
Cyclophosphamid Данія, Німеччина
Cyclophosphamide Великобританія, Нова Зеландія, Саудівська Аравія, Сполучені Штати Америки
Cyclostin Німеччина
Cycloxan Малайзія
Cycram Єгипет
Cytoxan Канада, Сполучені Штати Америки, Угорщина
Eldamide Індія
Endoxan Індія, Іран, Італія, Австрія, Австралія, Бельгія, Венесуела, Греція, Еквадор, Колумбія, Люксембург, Марокко, Нідерланди, Німеччина, Нова Зеландія, Об'єднані Арабські Емірати, Польща, Португалія, Саудівська Аравія, Словенія, Таїланд, Туніс, Туреччина, Угорщина, Франція, Хорватія, Чилі, Швейцарія
Endoxana Ірландія, Великобританія
Formitex Колумбія, Мексика
Genoxal Іспанія
Genuxal Бразилія
Hidrofosmin Мексика
Ledoxan Колумбія
Ledoxina Колумбія, Мексика
Neophos Єгипет
Neosar Сполучені Штати Америки
Procytox Канада
Sendoxan Ісландія, Данія, Норвегія, Фінляндія, Швеція
Syklofosfamid Туреччина, Фінляндія
Стійкість сумішей   ін'єкція   Стійкість сумішей : Cyclophosphamide     
Контейнер Розчинник Концентрація З'єднання температура Зберігання Тривалість стабільності Список літератури
скло Вода для ін'єкцій 1 mg/ml
ін'єкція   Cyclophosphamide   
ін'єкція   Granisetron hydrochloride 0,5 mg/ml
20°C-23°C
4 годину
світло 57
Рівень доказовості А+
скло Глюкоза 5% 10 mg/ml
ін'єкція   Cyclophosphamide   
ін'єкція   Palonosetron hydrochloride 50 µg/ml
25°C
4 годину
світло 2016
Рівень доказовості А+
Полівініл хлорид Натрію хлорид 0,9% 1 mg/ml
ін'єкція   Cyclophosphamide   
ін'єкція   Mesna 0,2 & 1 mg/ml
20°C
24 годину
світло 2104
Рівень доказовості D
Полівініл хлорид Натрію хлорид 0,9% 5 mg/ml
ін'єкція   Cyclophosphamide   
ін'єкція   Mesna 1 mg/ml
20°C
24 годину
світло 2104
Рівень доказовості D
Полівініл хлорид Натрію хлорид 0,9% 10 mg/ml
ін'єкція   Cyclophosphamide   
ін'єкція   Mesna 2 & 10 mg/ml
20°C
24 годину
світло 2104
Рівень доказовості D
Полівініл хлорид Натрію хлорид 0,9% 0,3 mg/ml
ін'єкція   Cyclophosphamide   
ін'єкція   Ondansetron hydrochloride 0,05 mg/ml
23°C-25°C
4 День
світло 50
Рівень доказовості B
Полівініл хлорид Натрію хлорид 0,9% 2 mg/ml
ін'єкція   Cyclophosphamide   
ін'єкція   Ondansetron hydrochloride 0,4 mg/ml
23°C-25°C
4 День
світло 50
Рівень доказовості B
Полівініл хлорид Натрію хлорид 0,9% 0,3 mg/ml
ін'єкція   Cyclophosphamide   
ін'єкція   Ondansetron hydrochloride 0,05 mg/ml
4°C
8 День
світло 50
Рівень доказовості B
Полівініл хлорид Натрію хлорид 0,9% 2 mg/ml
ін'єкція   Cyclophosphamide   
ін'єкція   Ondansetron hydrochloride 0,4 mg/ml
4°C
8 День
світло 50
Рівень доказовості B
Полівініл хлорид Глюкоза 5% 0,3 mg/ml
ін'єкція   Cyclophosphamide   
ін'єкція   Ondansetron hydrochloride 0,05 mg/ml
23°C-25°C
4 День
світло 50
Рівень доказовості B
Полівініл хлорид Глюкоза 5% 2 mg/ml
ін'єкція   Cyclophosphamide   
ін'єкція   Ondansetron hydrochloride 0,4 mg/ml
23°C-25°C
4 День
світло 50
Рівень доказовості B
Полівініл хлорид Глюкоза 5% 0,3 mg/ml
ін'єкція   Cyclophosphamide   
ін'єкція   Ondansetron hydrochloride 0,05 mg/ml
4°C
8 День
світло 50
Рівень доказовості B
Полівініл хлорид Глюкоза 5% 2 mg/ml
ін'єкція   Cyclophosphamide   
ін'єкція   Ondansetron hydrochloride 0,4 mg/ml
4°C
8 День
світло 50
Рівень доказовості B
Поліетилен Глюкоза 5% 1,8 mg/ml
ін'єкція   Cyclophosphamide   
ін'єкція   Mesna 0,54 mg/ml
22°C
6 годину
світло 1833
Рівень доказовості D
Поліетилен Глюкоза 5% 10,8 mg/ml
ін'єкція   Cyclophosphamide   
ін'єкція   Mesna 3,2 mg/ml
22°C
24 годину
світло 1833
Рівень доказовості D
Поліетилен Глюкоза 5% 10,8 mg/ml
ін'єкція   Cyclophosphamide   
ін'єкція   Mesna 3,2 mg/ml
4°C
48 годину
Не визначено 1833
Рівень доказовості D
Поліетилен Глюкоза 5% 1,8 mg/ml
ін'єкція   Cyclophosphamide   
ін'єкція   Mesna 0,54 mg/ml
4°C
48 годину
Не визначено 1833
Рівень доказовості D
Не визначено Натрію хлорид 0,9% 10 mg/ml
ін'єкція   Cyclophosphamide   
ін'єкція   Topotecan 0,028 mg/ml
20°C-23°C
4 годину
світло 1026
Рівень доказовості C
Не визначено Глюкоза 5% 10 mg/ml
ін'єкція   Cyclophosphamide   
ін'єкція   Topotecan 0,028 mg/ml
20°C-23°C
4 годину
світло 1026
Рівень доказовості C

  Mentions Légales