Zadnji put ažurirano :
27/04/2026
lijek protiv karcinoma   Cyclophosphamide  
injekcija
kapsula oralna otopina
Stabilizacija rješenja Stabilnost mješavine Stabilizacijski faktor Kompatibilnosti način davanja lijeka Bibliografija pdf
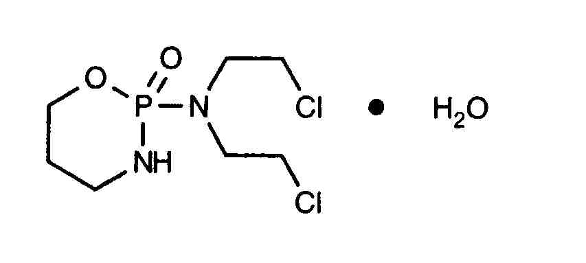
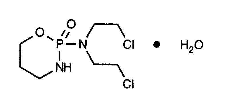
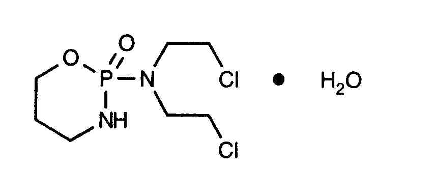
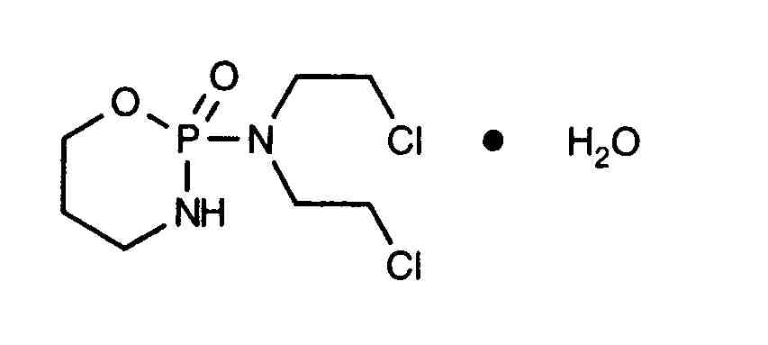
   Kemijska struktura  

Nekomercijalni   Nekomercijalni     

Zaštićeni nazivi su indikativni i sastav ekscipijensa može biti različit ovisno o državi i laboratorijima

Alkyloxan Egipat, Malezija
Celomide Indija
Ciclofosfamida Argentina, Čile, Rumunjska
Cicloxal Španjolska
Cryofaxol Meksiko
Cycloblastin Australija
Cycloblastine Nizozemska
Cyclophosphamid Danska, Njemačka
Cyclophosphamide novi Zeland, S A D, Saudijska Arabija, Velika Britanija
Cyclostin Njemačka
Cycloxan Malezija
Cycram Egipat
Cytoxan Kanada, Madžarska, S A D
Eldamide Indija
Endoxan Indija, Australija, Austrija, Belgija, Čile, Ekvador, Francuska, Grčka, Hrvatska, Iran, Italija, Kolumbija, Luksemburg, Madžarska, Maroko, Nizozemska, Njemačka, novi Zeland, Poljska, Portugal, Saudijska Arabija, Slovenija, Švicarska, Tajland, Tunis, Turska, Ujedinjeni Arapski Emirati, Venecuela
Endoxana Irska, Velika Britanija
Formitex Kolumbija, Meksiko
Genoxal Španjolska
Genuxal Brazil
Hidrofosmin Meksiko
Ledoxan Kolumbija
Ledoxina Kolumbija, Meksiko
Neophos Egipat
Neosar S A D
Procytox Kanada
Sendoxan Danska, Finska, Island, Norveška, Švedska
Syklofosfamid Finska, Turska
Stabilnost mješavine   injekcija   Stabilnost mješavine : Cyclophosphamide     
Kontejner sredstvo za rastapanje koncentracija molekula temperatura Konzerviranje Trajanje stabilnosti Bibliografija
čaša čista voda za injektiranje 1 mg/ml
injekcija   Cyclophosphamide   
injekcija   Granisetron hydrochloride 0,5 mg/ml
20°C-23°C
4 sat
svjetlost 57
Razina dokaza A+
čaša glukoza 5% 10 mg/ml
injekcija   Cyclophosphamide   
injekcija   Palonosetron hydrochloride 50 µg/ml
25°C
4 sat
svjetlost 2016
Razina dokaza A+
polivinilklorid natrijumkorid 0,9% 1 mg/ml
injekcija   Cyclophosphamide   
injekcija   Mesna 0,2 & 1 mg/ml
20°C
24 sat
svjetlost 2104
Razina dokaza D
polivinilklorid natrijumkorid 0,9% 5 mg/ml
injekcija   Cyclophosphamide   
injekcija   Mesna 1 mg/ml
20°C
24 sat
svjetlost 2104
Razina dokaza D
polivinilklorid natrijumkorid 0,9% 10 mg/ml
injekcija   Cyclophosphamide   
injekcija   Mesna 2 & 10 mg/ml
20°C
24 sat
svjetlost 2104
Razina dokaza D
polivinilklorid natrijumkorid 0,9% 0,3 mg/ml
injekcija   Cyclophosphamide   
injekcija   Ondansetron hydrochloride 0,05 mg/ml
23°C-25°C
4 dan
svjetlost 50
Razina dokaza B
polivinilklorid natrijumkorid 0,9% 2 mg/ml
injekcija   Cyclophosphamide   
injekcija   Ondansetron hydrochloride 0,4 mg/ml
23°C-25°C
4 dan
svjetlost 50
Razina dokaza B
polivinilklorid natrijumkorid 0,9% 0,3 mg/ml
injekcija   Cyclophosphamide   
injekcija   Ondansetron hydrochloride 0,05 mg/ml
4°C
8 dan
svjetlost 50
Razina dokaza B
polivinilklorid natrijumkorid 0,9% 2 mg/ml
injekcija   Cyclophosphamide   
injekcija   Ondansetron hydrochloride 0,4 mg/ml
4°C
8 dan
svjetlost 50
Razina dokaza B
polivinilklorid glukoza 5% 0,3 mg/ml
injekcija   Cyclophosphamide   
injekcija   Ondansetron hydrochloride 0,05 mg/ml
23°C-25°C
4 dan
svjetlost 50
Razina dokaza B
polivinilklorid glukoza 5% 2 mg/ml
injekcija   Cyclophosphamide   
injekcija   Ondansetron hydrochloride 0,4 mg/ml
23°C-25°C
4 dan
svjetlost 50
Razina dokaza B
polivinilklorid glukoza 5% 0,3 mg/ml
injekcija   Cyclophosphamide   
injekcija   Ondansetron hydrochloride 0,05 mg/ml
4°C
8 dan
svjetlost 50
Razina dokaza B
polivinilklorid glukoza 5% 2 mg/ml
injekcija   Cyclophosphamide   
injekcija   Ondansetron hydrochloride 0,4 mg/ml
4°C
8 dan
svjetlost 50
Razina dokaza B
polietilen glukoza 5% 1,8 mg/ml
injekcija   Cyclophosphamide   
injekcija   Mesna 0,54 mg/ml
22°C
6 sat
svjetlost 1833
Razina dokaza D
polietilen glukoza 5% 10,8 mg/ml
injekcija   Cyclophosphamide   
injekcija   Mesna 3,2 mg/ml
22°C
24 sat
svjetlost 1833
Razina dokaza D
polietilen glukoza 5% 10,8 mg/ml
injekcija   Cyclophosphamide   
injekcija   Mesna 3,2 mg/ml
4°C
48 sat
nespecifičan 1833
Razina dokaza D
polietilen glukoza 5% 1,8 mg/ml
injekcija   Cyclophosphamide   
injekcija   Mesna 0,54 mg/ml
4°C
48 sat
nespecifičan 1833
Razina dokaza D
nespecifičan natrijumkorid 0,9% 10 mg/ml
injekcija   Cyclophosphamide   
injekcija   Topotecan 0,028 mg/ml
20°C-23°C
4 sat
svjetlost 1026
Razina dokaza C
nespecifičan glukoza 5% 10 mg/ml
injekcija   Cyclophosphamide   
injekcija   Topotecan 0,028 mg/ml
20°C-23°C
4 sat
svjetlost 1026
Razina dokaza C

  Mentions Légales