zadnja posodobitev :
27/04/2026
rak drog   Cyclophosphamide  
Brizgalka
Kapsula Peroralna raztopina
Stabilnost raztopine Stabilnost mešanice Faktorji, ki vplivajo na stabilnost Kompatibilnost način aplikacije Viri pdf
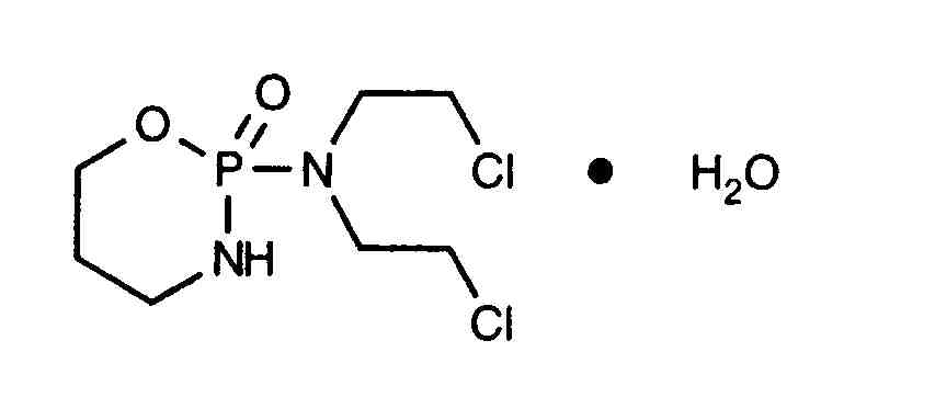
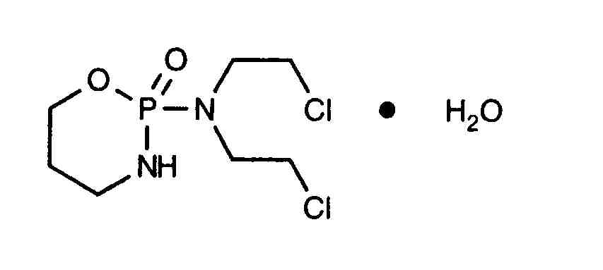
   Kemična formula  

Lastniško ime   Lastniško ime     

Sestava pomožnih snovi je med paralelami lahko različna

Alkyloxan Egipt, Malezija
Celomide Indija
Ciclofosfamida Argentina, Čile, Romunija
Cicloxal Španija
Cryofaxol Mehika
Cycloblastin Avstralija
Cycloblastine Nizozemska
Cyclophosphamid Danska, Nemčija
Cyclophosphamide nova Zelandija, Savdska Arabija, Velika Britanija, Združene države Amerike
Cyclostin Nemčija
Cycloxan Malezija
Cycram Egipt
Cytoxan Kanada, Madžarska, Združene države Amerike
Eldamide Indija
Endoxan Avstralija, Avstrija, Belgija, Čile, Ekvador, Francija, Grčija, Hrvaška, Indija, Iran, Italija, Kolumbija, Luksemburg, Madžarska, Maroko, Nemčija, Nizozemska, nova Zelandija, Poljska, Portugalska, Savdska Arabija, Slovenija, Švica, Tajska, Tunizija, Turčija, Venezuela, Združeni arabski emirati
Endoxana Irska, Velika Britanija
Formitex Kolumbija, Mehika
Genoxal Španija
Genuxal Brazilija
Hidrofosmin Mehika
Ledoxan Kolumbija
Ledoxina Kolumbija, Mehika
Neophos Egipt
Neosar Združene države Amerike
Procytox Kanada
Sendoxan Danska, Finska, Islandija, Norveška, Švedska
Syklofosfamid Finska, Turčija
Stabilnost mešanice   Brizgalka   Stabilnost mešanice : Cyclophosphamide     
Vsebnik Topilo Koncentracija Sestava Temperatura Shranjevanje Trajanje stabilnosti Viri
Steklo Voda za injekcije 1 mg/ml
Brizgalka   Cyclophosphamide   
Brizgalka   Granisetron hydrochloride 0,5 mg/ml
20°C-23°C
4 čas
Svetloba 57
 Stopnja dokaza A+
Steklo Glukoza 5% 10 mg/ml
Brizgalka   Cyclophosphamide   
Brizgalka   Palonosetron hydrochloride 50 µg/ml
25°C
4 čas
Svetloba 2016
 Stopnja dokaza A+
Polivinil klorid Natrijev klorid 0,9% 1 mg/ml
Brizgalka   Cyclophosphamide   
Brizgalka   Mesna 0,2 & 1 mg/ml
20°C
24 čas
Svetloba 2104
 Stopnja dokaza D
Polivinil klorid Natrijev klorid 0,9% 5 mg/ml
Brizgalka   Cyclophosphamide   
Brizgalka   Mesna 1 mg/ml
20°C
24 čas
Svetloba 2104
 Stopnja dokaza D
Polivinil klorid Natrijev klorid 0,9% 10 mg/ml
Brizgalka   Cyclophosphamide   
Brizgalka   Mesna 2 & 10 mg/ml
20°C
24 čas
Svetloba 2104
 Stopnja dokaza D
Polivinil klorid Natrijev klorid 0,9% 0,3 mg/ml
Brizgalka   Cyclophosphamide   
Brizgalka   Ondansetron hydrochloride 0,05 mg/ml
23°C-25°C
4 Dan
Svetloba 50
 Stopnja dokaza B
Polivinil klorid Natrijev klorid 0,9% 2 mg/ml
Brizgalka   Cyclophosphamide   
Brizgalka   Ondansetron hydrochloride 0,4 mg/ml
23°C-25°C
4 Dan
Svetloba 50
 Stopnja dokaza B
Polivinil klorid Natrijev klorid 0,9% 0,3 mg/ml
Brizgalka   Cyclophosphamide   
Brizgalka   Ondansetron hydrochloride 0,05 mg/ml
4°C
8 Dan
Svetloba 50
 Stopnja dokaza B
Polivinil klorid Natrijev klorid 0,9% 2 mg/ml
Brizgalka   Cyclophosphamide   
Brizgalka   Ondansetron hydrochloride 0,4 mg/ml
4°C
8 Dan
Svetloba 50
 Stopnja dokaza B
Polivinil klorid Glukoza 5% 0,3 mg/ml
Brizgalka   Cyclophosphamide   
Brizgalka   Ondansetron hydrochloride 0,05 mg/ml
23°C-25°C
4 Dan
Svetloba 50
 Stopnja dokaza B
Polivinil klorid Glukoza 5% 2 mg/ml
Brizgalka   Cyclophosphamide   
Brizgalka   Ondansetron hydrochloride 0,4 mg/ml
23°C-25°C
4 Dan
Svetloba 50
 Stopnja dokaza B
Polivinil klorid Glukoza 5% 0,3 mg/ml
Brizgalka   Cyclophosphamide   
Brizgalka   Ondansetron hydrochloride 0,05 mg/ml
4°C
8 Dan
Svetloba 50
 Stopnja dokaza B
Polivinil klorid Glukoza 5% 2 mg/ml
Brizgalka   Cyclophosphamide   
Brizgalka   Ondansetron hydrochloride 0,4 mg/ml
4°C
8 Dan
Svetloba 50
 Stopnja dokaza B
Polietilen Glukoza 5% 1,8 mg/ml
Brizgalka   Cyclophosphamide   
Brizgalka   Mesna 0,54 mg/ml
22°C
6 čas
Svetloba 1833
 Stopnja dokaza D
Polietilen Glukoza 5% 10,8 mg/ml
Brizgalka   Cyclophosphamide   
Brizgalka   Mesna 3,2 mg/ml
22°C
24 čas
Svetloba 1833
 Stopnja dokaza D
Polietilen Glukoza 5% 10,8 mg/ml
Brizgalka   Cyclophosphamide   
Brizgalka   Mesna 3,2 mg/ml
4°C
48 čas
Nedoločeno 1833
 Stopnja dokaza D
Polietilen Glukoza 5% 1,8 mg/ml
Brizgalka   Cyclophosphamide   
Brizgalka   Mesna 0,54 mg/ml
4°C
48 čas
Nedoločeno 1833
 Stopnja dokaza D
Nedoločeno Natrijev klorid 0,9% 10 mg/ml
Brizgalka   Cyclophosphamide   
Brizgalka   Topotecan 0,028 mg/ml
20°C-23°C
4 čas
Svetloba 1026
 Stopnja dokaza C
Nedoločeno Glukoza 5% 10 mg/ml
Brizgalka   Cyclophosphamide   
Brizgalka   Topotecan 0,028 mg/ml
20°C-23°C
4 čas
Svetloba 1026
 Stopnja dokaza C

  Mentions Légales